ГОСТ 17026-71 Фрезы концевые с коническим хвостовиком. Конструкция и размеры
ГОСТ
Скачать ГОСТ в PDF или DOC бесплатно
Основная информация
Обозначение:
ГОСТ 17026-71
Статус:
Утратил силу в РФ
Тип:
ГОСТ
Название русское:
Фрезы концевые с коническим хвостовиком. Конструкция и размеры
Название английское:
End mills with tapered shank. Design and dimensions
Даты и сроки
Дата издания:
03-01-98
Дата введения в действие:
01-01-73
Дата завершения срока действия:
01-01-10
Применение и описание
Область и условия применения:
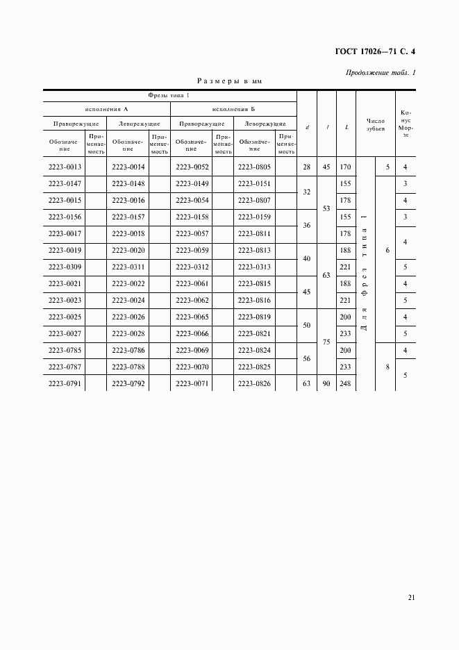
Настоящий стандарт распространяется на концевые фрезы с коническим хвостовиком, предназначенные для обработки поверхностей и уступов
Связи и замены
Заменяющий:
-
Взамен:
МН 411-65;МН 412-65
Взамен в части:
ГОСТ 8237-57 в части фрез с коническим хвостовиком
Изменения и переиздания
Список изменений:
№0 от (рег. ) «Поправка к изменению» №1 от (рег. ) «Срок действия продлен» №2 от (рег. ) «Срок действия продлен» №3 от (рег. ) «Срок действия продлен» №4 от (рег. ) «Срок действия продлен» №5 от (рег. ) «Срок действия продлен»
Описание стандарта
ГОСТ 17026-71 Фрезы концевые с коническим хвостовиком. Конструкция и размеры
Страницы стандарта












