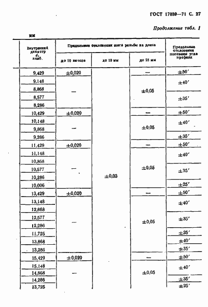
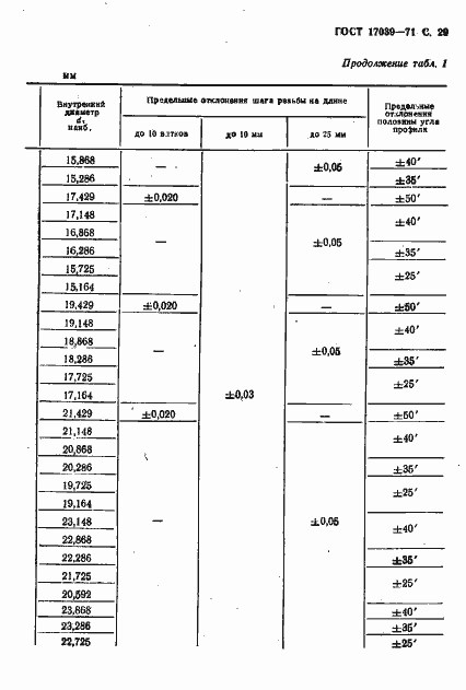
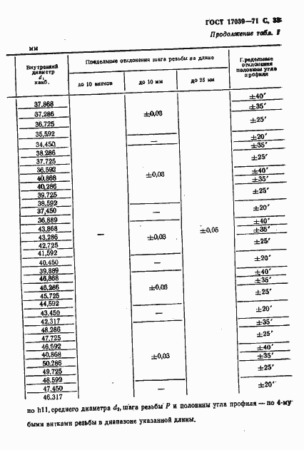
ГОСТ 17039-71 Метчики. Исполнительные размеры
ГОСТ
Скачать ГОСТ в PDF или DOC бесплатно
Основная информация
Обозначение:
ГОСТ 17039-71
Статус:
Действует
Тип:
ГОСТ
Название русское:
Метчики. Исполнительные размеры
Название английское:
Taps. Required dimensions
Даты и сроки
Дата издания:
04-01-92
Дата введения в действие:
06-30-73
Дата завершения срока действия:
-
Применение и описание
Область и условия применения:
Настоящий стандарт распространяется на метчики, предназначенные для нарезания резьбы метрической по ГОСТ 24705-81, дюймовой по ОСТ НКТП 1260 и трубной цилиндрической по ГОСТ 6357-81
Связи и замены
Заменяющий:
-
Взамен:
МН 3628-62;МН 2167-61;МН 2168-61;МН 2169-61;МН 2170-61;МН 2171-61;МН 2172-61
Изменения и переиздания
Список изменений:
№0 от (рег. ) «Дата введения перенесена» №3 от (рег. ) «Срок действия продлен» №4 от (рег. ) «Срок действия продлен» №5 от (рег. ) «Срок действия продлен»
Описание стандарта
ГОСТ 17039-71 Метчики. Исполнительные размеры
Страницы стандарта













































Приложение №4: Поправка к ГОСТ 17039-71 Обозначение: Поправка к ГОСТ 17039-71 Дата введения в действие: 19.11.2019
