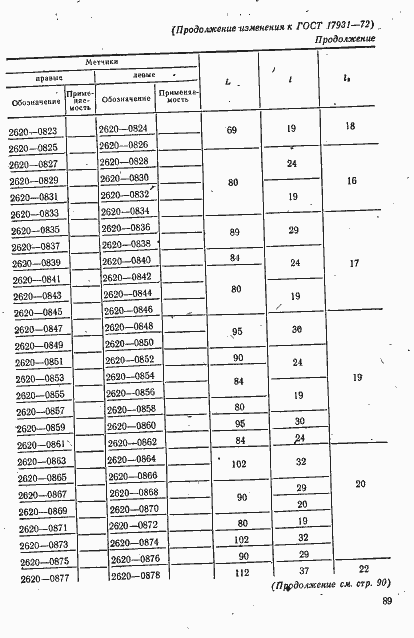
ГОСТ 17931-72 Метчики машинные с укороченными канавками. Конструкция и размеры
ГОСТ
Скачать ГОСТ в PDF или DOC бесплатно
Основная информация
Обозначение:
ГОСТ 17931-72
Статус:
Действует
Тип:
ГОСТ
Название русское:
Метчики машинные с укороченными канавками. Конструкция и размеры
Название английское:
Machine taps with shortened flutes. Design and dimensions
Даты и сроки
Дата издания:
09-05-72
Дата введения в действие:
01-01-74
Дата завершения срока действия:
-
Применение и описание
Область и условия применения:
Настоящий стандарт распространяется на машинные метчики с укороченными канавками, предназначенные для нарезания метрической резьбы в сквозных отверстиях
Связи и замены
Заменяющий:
-
Изменения и переиздания
Список изменений:
№1 от (рег. ) «Срок действия продлен» №2 от (рег. ) «Срок действия продлен» №3 от (рег. ) «Срок действия продлен»
Описание стандарта
ГОСТ 17931-72 Метчики машинные с укороченными канавками. Конструкция и размеры
Страницы стандарта




















