ГОСТ 19258-73 Стержни под нарезание метрической резьбы. Диаметры
ГОСТ
Скачать ГОСТ в PDF или DOC бесплатно
Основная информация
Обозначение:
ГОСТ 19258-73
Статус:
Действует
Тип:
ГОСТ
Название русское:
Стержни под нарезание метрической резьбы. Диаметры
Название английское:
Bars for threading metric thread. Diameters
Даты и сроки
Дата издания:
09-01-91
Дата введения в действие:
01-01-74
Дата завершения срока действия:
-
Применение и описание
Область и условия применения:
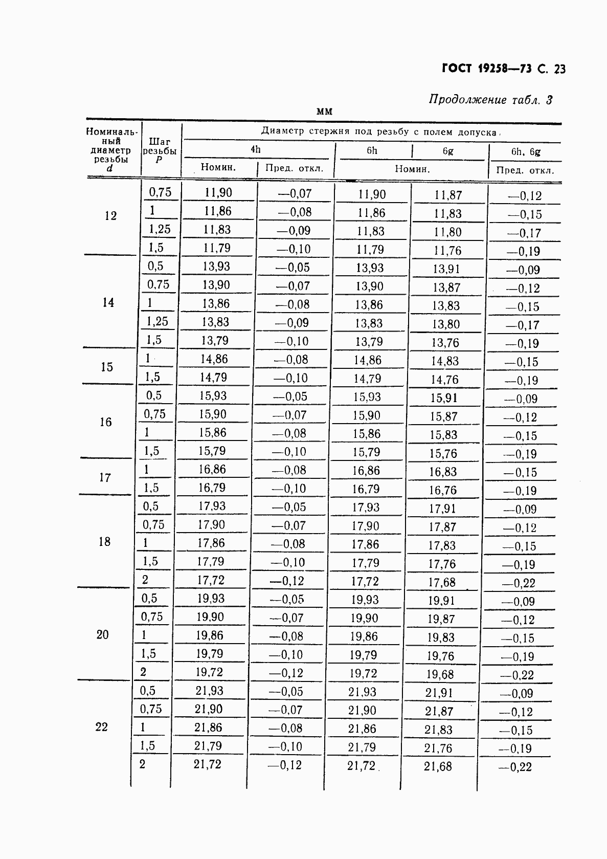
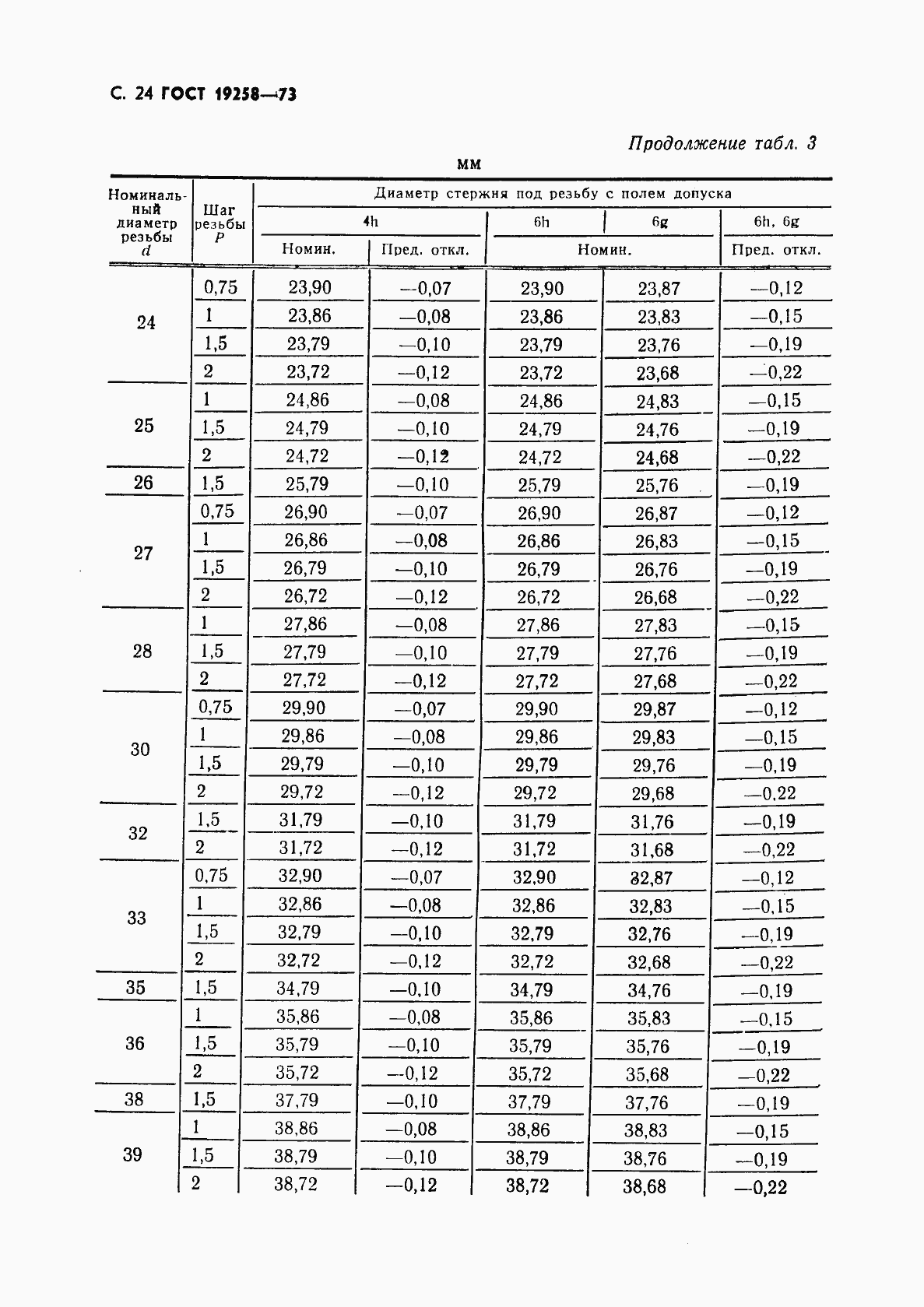
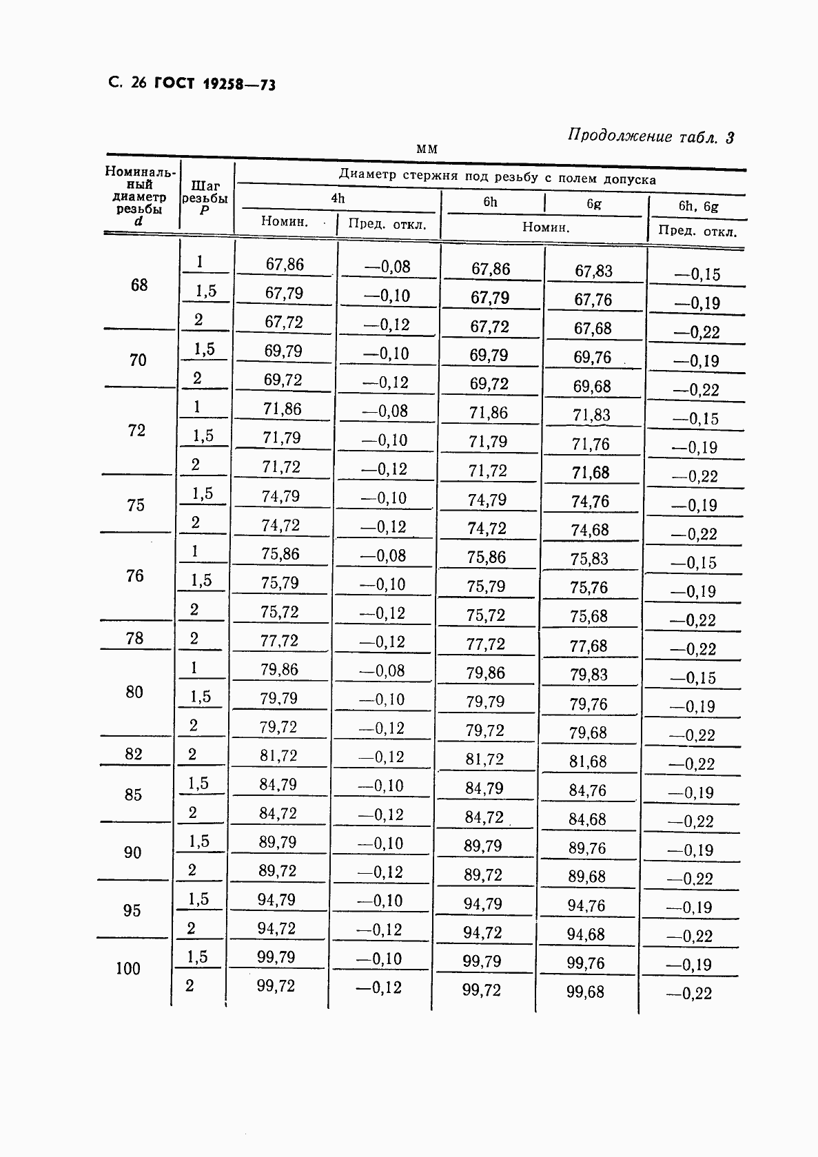
Настоящий стандарт устанавливает диаметры стержней, обеспечивающих нарезание метрической резьбы с допусками, изготовляемых из сталей, меди
Связи и замены
Заменяющий:
-
Взамен:
МН 5597-64
Описание стандарта
ГОСТ 19258-73 Стержни под нарезание метрической резьбы. Диаметры
Страницы стандарта



























