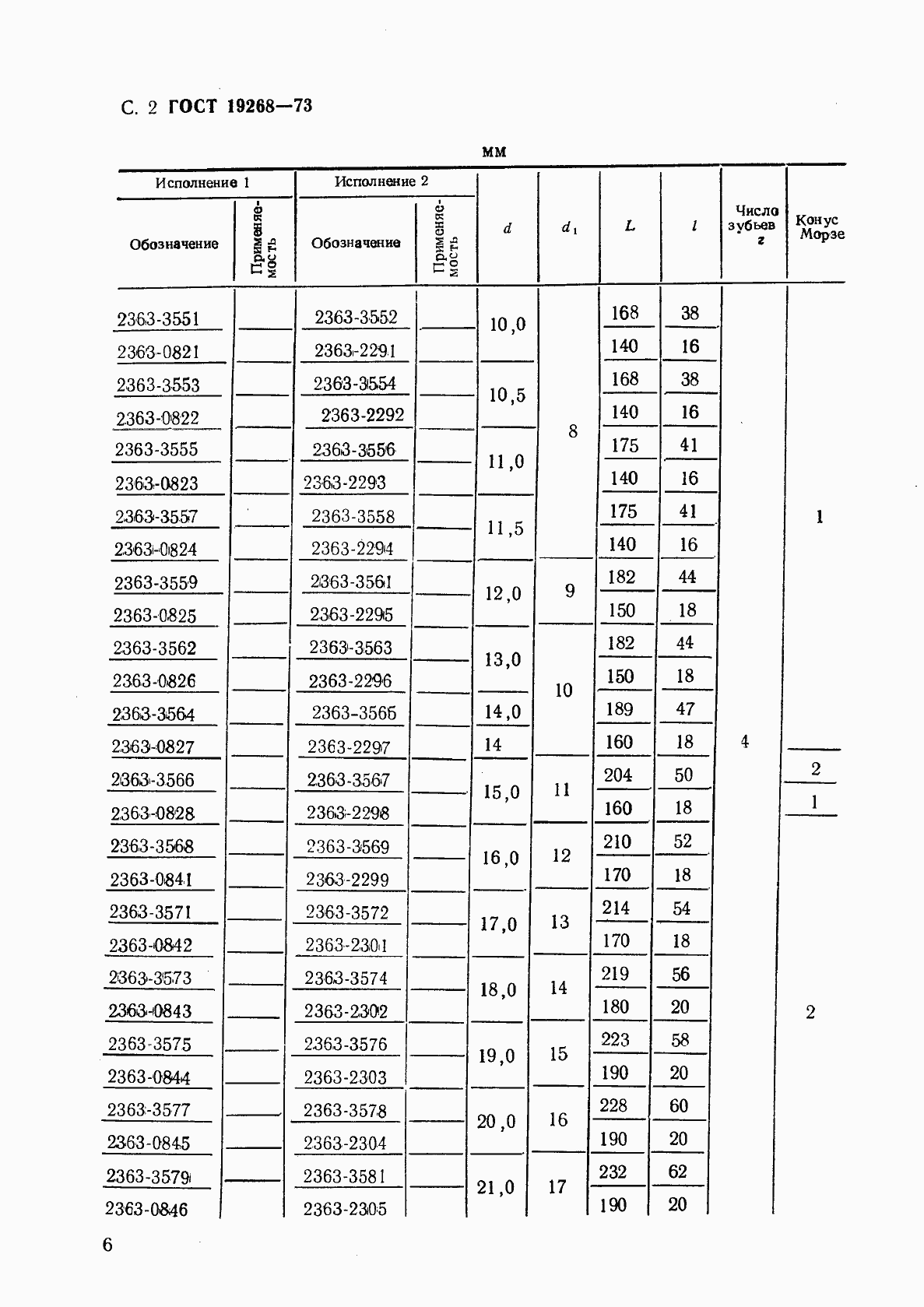
ГОСТ 19268-73 Развертки машинные цилиндрические с коническим хвостовиком для обработки деталей из легких сплавов. Конструкция и размеры
ГОСТ
Скачать ГОСТ в PDF или DOC бесплатно
Основная информация
Обозначение:
ГОСТ 19268-73
Статус:
Действует
Тип:
ГОСТ
Название русское:
Развертки машинные цилиндрические с коническим хвостовиком для обработки деталей из легких сплавов. Конструкция и размеры
Название английское:
Straight machine reamers with tapered shank for working parts of light alloys. Design and dimensions
Даты и сроки
Дата издания:
05-01-91
Дата введения в действие:
01-01-75
Дата завершения срока действия:
-
Применение и описание
Область и условия применения:
Настоящий стандарт распространяется на цилиндрические машинные развертки с коническим хвостовиком для обработки отверстий без кондукторных втулок в деталях из легких сплавов с полями допусков Н7, К7, Н8, Н9, Н10, Н11 и на развертки с припуском под доводку № 1, 2, 3, 4, 5, 6
Связи и замены
Заменяющий:
-
Взамен:
МН 83-59;МН 84-59;МН 85-59
Изменения и переиздания
Список изменений:
№0 от (рег. ) «Срок действия продлен» №1 от (рег. ) «Срок действия продлен» №2 от (рег. ) «Срок действия продлен»
Описание стандарта
ГОСТ 19268-73 Развертки машинные цилиндрические с коническим хвостовиком для обработки деталей из легких сплавов. Конструкция и размеры
Страницы стандарта







