ГОСТ 19272-73 Развертки машинные цилиндрические для обработки деталей из легких сплавов. Допуски на диаметр
ГОСТ
Скачать ГОСТ в PDF или DOC бесплатно
Основная информация
Обозначение:
ГОСТ 19272-73
Статус:
Действует
Тип:
ГОСТ
Название русское:
Развертки машинные цилиндрические для обработки деталей из легких сплавов. Допуски на диаметр
Название английское:
Cylindrical finishing lapped reamers for cultivation defails of light alloys. Allowances on diameters
Даты и сроки
Дата издания:
05-01-91
Дата введения в действие:
01-01-75
Дата завершения срока действия:
-
Применение и описание
Область и условия применения:
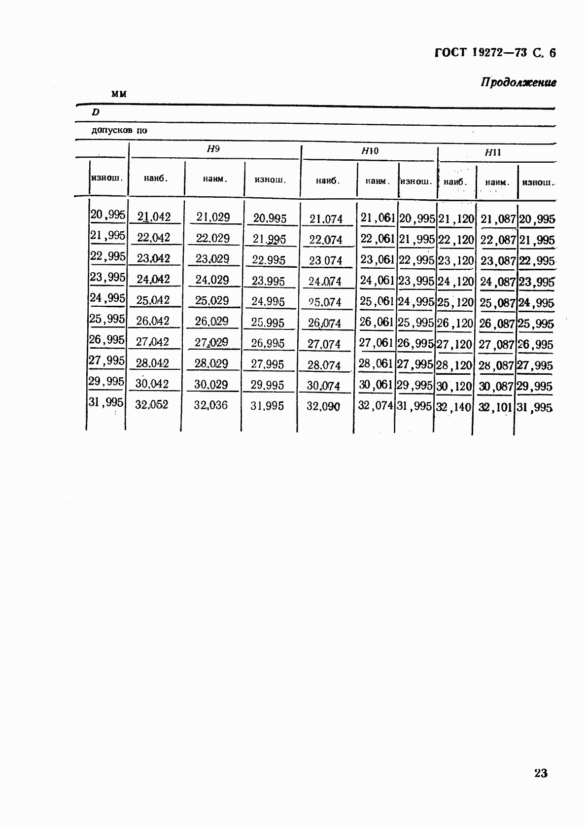
Настоящий стандарт распространяется на доведенные чистовые цилиндрические машинные развертки для обработки отверстий без кондукторных втулок в деталях из легких сплавов с полями допусков по Н7, К7, Н8, Н9, Н10, Н11
Связи и замены
Заменяющий:
-
Взамен:
МН 100-59
Изменения и переиздания
Список изменений:
№1 от (рег. ) «Срок действия продлен» №2 от (рег. ) «Срок действия продлен»
Описание стандарта
ГОСТ 19272-73 Развертки машинные цилиндрические для обработки деталей из легких сплавов. Допуски на диаметр
Страницы стандарта





