ГОСТ 19547-74 Сверла спиральные удлиненные с коническим хвостовиком для обработки легких сплавов. Конструкция
ГОСТ
Скачать ГОСТ в PDF или DOC бесплатно
Основная информация
Обозначение:
ГОСТ 19547-74
Статус:
Действует
Тип:
ГОСТ
Название русское:
Сверла спиральные удлиненные с коническим хвостовиком для обработки легких сплавов. Конструкция
Название английское:
Lengthened twist drills with taper shank for working of light alloys. Design
Даты и сроки
Дата издания:
08-01-03
Дата введения в действие:
01-01-76
Дата завершения срока действия:
-
Применение и описание
Область и условия применения:
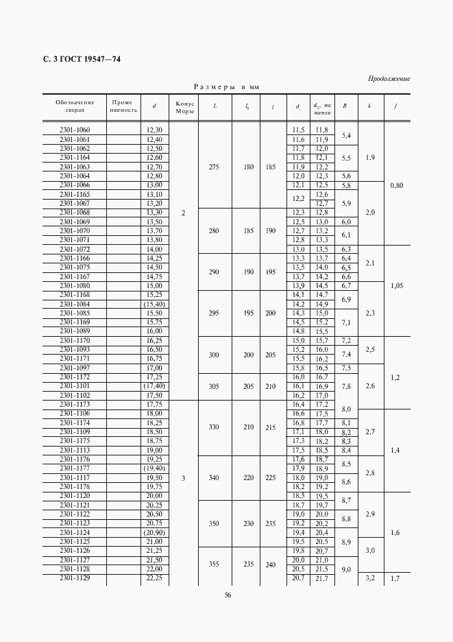
Настоящий стандарт распространяется на удлиненные спиральные сверла диаметром от 6 до 30 мм класса точности В, предназначенные для сверления отверстий в легких сплавах
Связи и замены
Заменяющий:
-
Взамен:
МН 69-65
Изменения и переиздания
Список изменений:
№1 от (рег. ) «Срок действия продлен» №2 от (рег. ) «Поправка»
Описание стандарта
ГОСТ 19547-74 Сверла спиральные удлиненные с коническим хвостовиком для обработки легких сплавов. Конструкция
Страницы стандарта




