ГОСТ 21581-76 Зенкеры с коническим хвостовиком для обработки деталей из легких сплавов. Конструкция и размеры
ГОСТ
Скачать ГОСТ в PDF или DOC бесплатно
Основная информация
Обозначение:
ГОСТ 21581-76
Статус:
Действует
Тип:
ГОСТ
Название русское:
Зенкеры с коническим хвостовиком для обработки деталей из легких сплавов. Конструкция и размеры
Название английское:
Tapered countersinks for machining parts for light alloys. Design and dimensions
Даты и сроки
Дата издания:
05-01-90
Дата введения в действие:
01-01-77
Дата завершения срока действия:
-
Применение и описание
Область и условия применения:
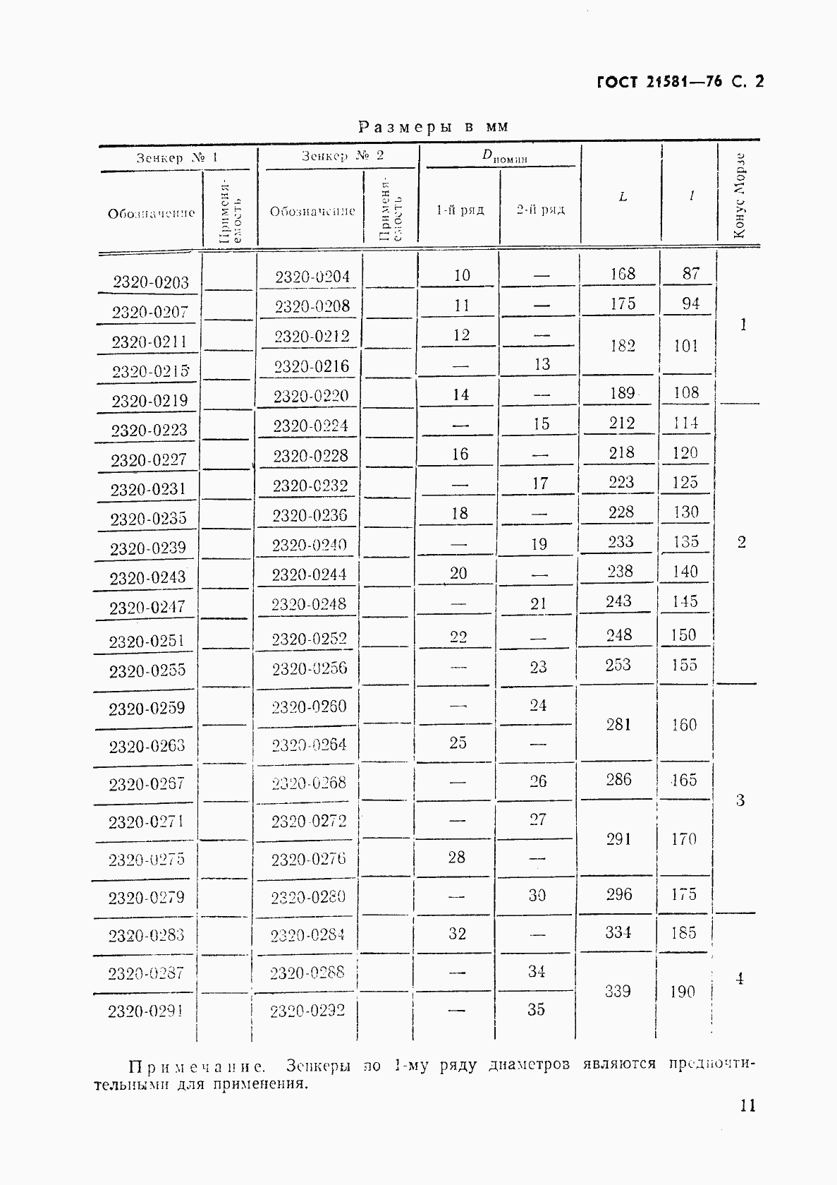
Настоящий стандарт распространяется на цельные зенкеры с коническим хвостовиком, предназначенные для предварительной (зенкер №1) и окончательной обработки отверстий по А4 (зенкер №2) в деталях из легких сплавов
Связи и замены
Заменяющий:
-
Взамен:
МН 327-60
Описание стандарта
ГОСТ 21581-76 Зенкеры с коническим хвостовиком для обработки деталей из легких сплавов. Конструкция и размеры
Страницы стандарта









