ГОСТ 21582-76 Зенкеры торцовые с коническим хвостовиком для обработки деталей из легких сплавов. Конструкция и размеры
ГОСТ
Скачать ГОСТ в PDF или DOC бесплатно
Основная информация
Обозначение:
ГОСТ 21582-76
Статус:
Действует
Тип:
ГОСТ
Название русское:
Зенкеры торцовые с коническим хвостовиком для обработки деталей из легких сплавов. Конструкция и размеры
Название английское:
End countersinks with taper chucking for machining parts from light alloys. Design and dimensions
Даты и сроки
Дата издания:
05-01-90
Дата введения в действие:
01-01-77
Дата завершения срока действия:
-
Применение и описание
Область и условия применения:
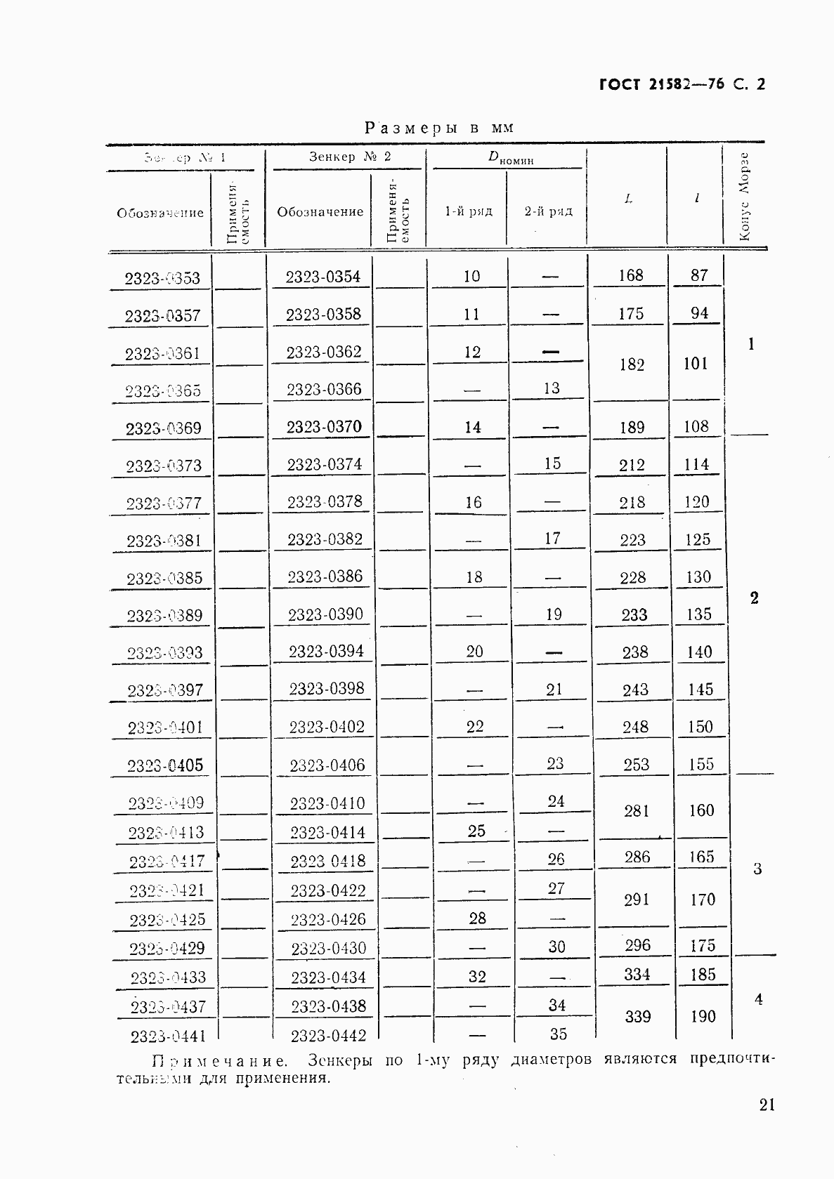
Настоящий стандарт распространяется на цельные торцовые зенкеры с коническим хвостовиком, предназначенные для предварительной (зенкер № 1) и окончательной обработки отверстий по А4 (зенкер № 2) в деталях из легких сплавов
Связи и замены
Заменяющий:
-
Взамен:
МН 328-60
Описание стандарта
ГОСТ 21582-76 Зенкеры торцовые с коническим хвостовиком для обработки деталей из легких сплавов. Конструкция и размеры
Страницы стандарта



