ГОСТ 21586-76 Зенкеры для обработки отверстий диаметром от 3 до 80 мм в деталях из легких сплавов. Допуски на диаметр
ГОСТ
Скачать ГОСТ в PDF или DOC бесплатно
Основная информация
Обозначение:
ГОСТ 21586-76
Статус:
Действует
Тип:
ГОСТ
Название русское:
Зенкеры для обработки отверстий диаметром от 3 до 80 мм в деталях из легких сплавов. Допуски на диаметр
Название английское:
Countersinks for machining holes diameters from 3 to 80 mm. Hole tolerance
Даты и сроки
Дата издания:
05-01-90
Дата введения в действие:
01-01-77
Дата завершения срока действия:
-
Применение и описание
Область и условия применения:
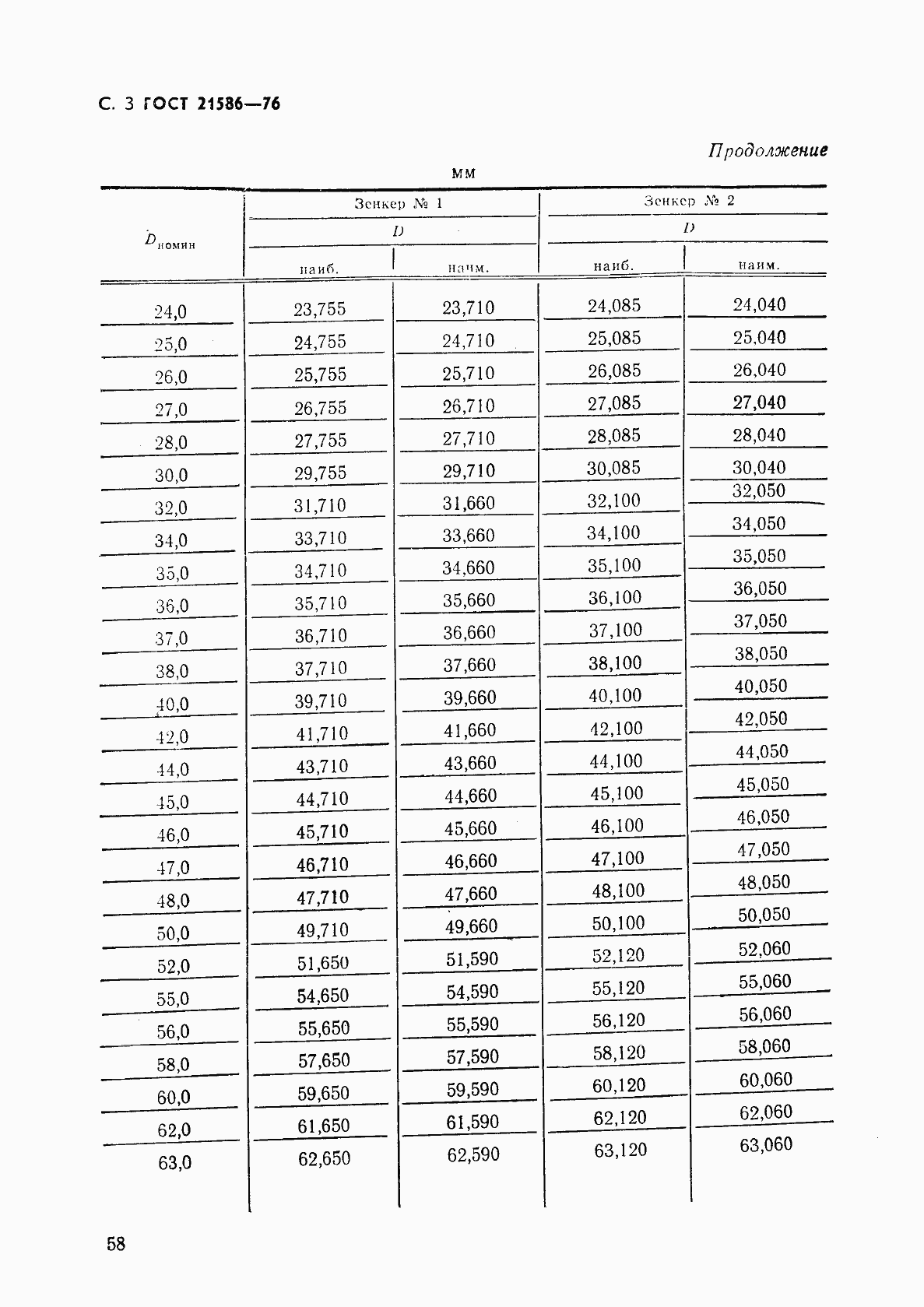
Настоящий стандарт устанавливает допуски на диаметры зенкеров
Связи и замены
Заменяющий:
-
Взамен:
МН 324-60
Описание стандарта
ГОСТ 21586-76 Зенкеры для обработки отверстий диаметром от 3 до 80 мм в деталях из легких сплавов. Допуски на диаметр
Страницы стандарта




