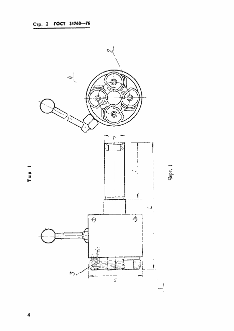
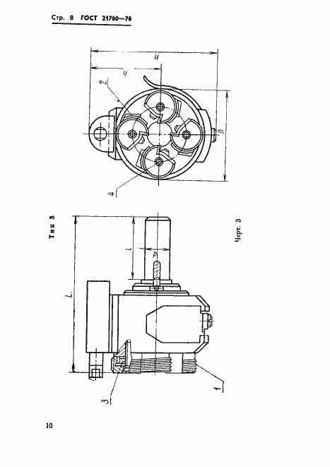
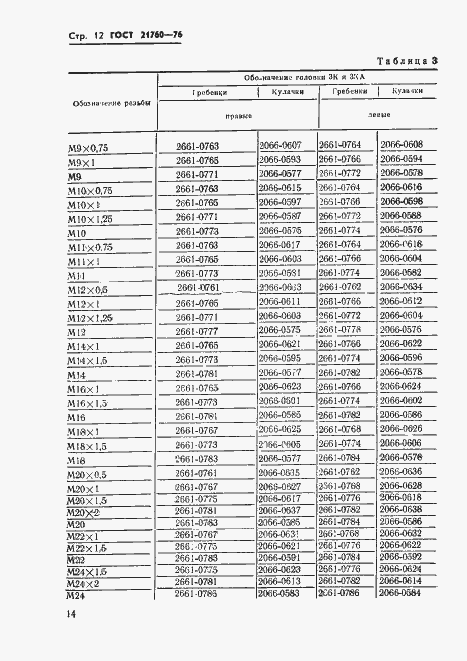
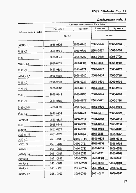
ГОСТ 21760-76 Головки винторезные самооткрывающиеся с круглыми гребенками. Типы и основные размеры
ГОСТ
Скачать ГОСТ в PDF или DOC бесплатно
Основная информация
Обозначение:
ГОСТ 21760-76
Статус:
Действует
Тип:
ГОСТ
Название русское:
Головки винторезные самооткрывающиеся с круглыми гребенками. Типы и основные размеры
Название английское:
Self-opening threadcutting die heads with circular chasets. Tipes and main dimensions
Даты и сроки
Дата издания:
09-01-82
Дата введения в действие:
01-01-78
Дата завершения срока действия:
-
Применение и описание
Область и условия применения:
Настоящий стандарт распространяется на самооткрывающиеся винторезные головки с круглыми гребенками, предназначенные для нарезания наружной метрической резьбы диаметром от 4 до 60 мм с шагом до 4 мм
Связи и замены
Заменяющий:
-
Взамен:
ГОСТ 3307-61
Изменения и переиздания
Список изменений:
№1 от (рег. ) «Срок действия продлен»
Описание стандарта
ГОСТ 21760-76 Головки винторезные самооткрывающиеся с круглыми гребенками. Типы и основные размеры
Страницы стандарта


















