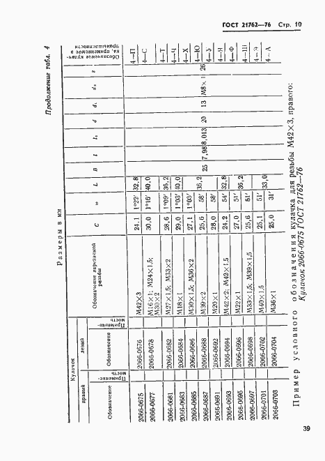
ГОСТ 21762-76 Кулачки к винторезным самооткрывающимся головкам. Основные размеры
ГОСТ
Скачать ГОСТ в PDF или DOC бесплатно
Основная информация
Обозначение:
ГОСТ 21762-76
Статус:
Действует
Тип:
ГОСТ
Название русское:
Кулачки к винторезным самооткрывающимся головкам. Основные размеры
Название английское:
Cams for self-opening threadcutting die heads. Main dimensions
Даты и сроки
Дата издания:
09-01-82
Дата введения в действие:
01-01-78
Дата завершения срока действия:
-
Применение и описание
Область и условия применения:
Настоящий стандарт распространяется на кулачки к винтовым самооткрывающимся головкам
Связи и замены
Заменяющий:
-
Взамен:
МН 4281-63;МН 4282-63;МН 4283-63;МН 4284-63;МН 4285-63;МН 4287-63;МН 4288-63;МН 4289-63;МН 4290-63;МН 4291-63
Изменения и переиздания
Список изменений:
№1 от (рег. ) «Срок действия продлен»
Описание стандарта
ГОСТ 21762-76 Кулачки к винторезным самооткрывающимся головкам. Основные размеры
Страницы стандарта















