ГОСТ 2248-80 Плашки резьбонакатные плоские. Технические условия
ГОСТ
Скачать ГОСТ в PDF или DOC бесплатно
Основная информация
Обозначение:
ГОСТ 2248-80
Статус:
Действует
Тип:
ГОСТ
Название русское:
Плашки резьбонакатные плоские. Технические условия
Название английское:
Flat thread-rolling dies
Даты и сроки
Дата издания:
08-01-87
Дата введения в действие:
01-01-81
Дата завершения срока действия:
-
Применение и описание
Область и условия применения:
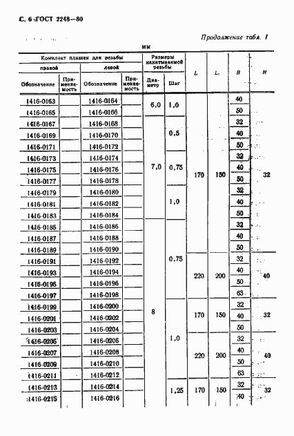
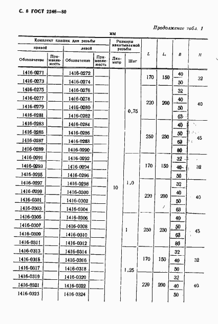
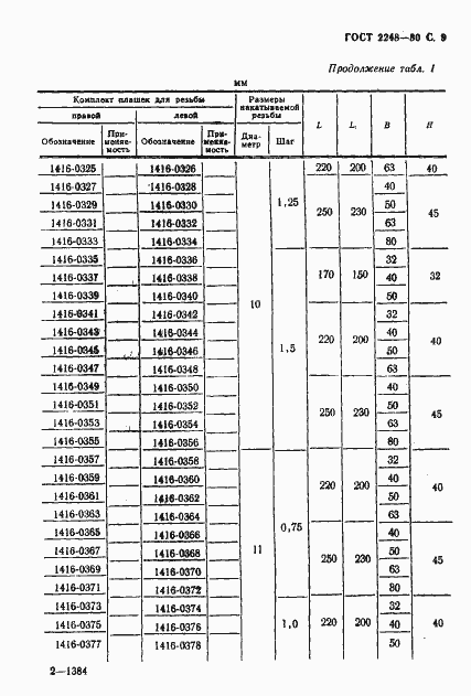
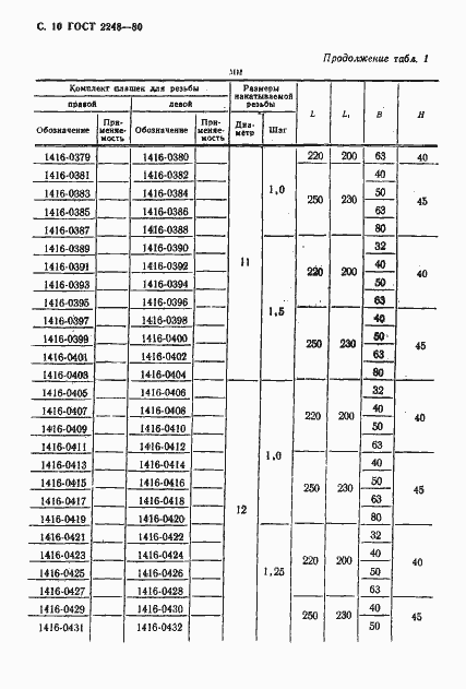
Настоящий стандарт распространяется на резьбонакатные плоские плашки для изготовления метрических резьб диаметром от 1,6 до 27 мм с шагом от 0,2 до 3 мм в изделиях из конструкционных сталей
Связи и замены
Заменяющий:
-
Взамен:
ГОСТ 2248-69
Изменения и переиздания
Список изменений:
№1 от (рег. ) «Срок действия продлен» №2 от (рег. ) «Срок действия продлен»
Описание стандарта
ГОСТ 2248-80 Плашки резьбонакатные плоские. Технические условия
Страницы стандарта


































