ГОСТ 2287-88 Гребенки резьбонарезные плоские. Технические условия
ГОСТ
Скачать ГОСТ в PDF или DOC бесплатно
Основная информация
Обозначение:
ГОСТ 2287-88
Статус:
Действует
Тип:
ГОСТ
Название русское:
Гребенки резьбонарезные плоские. Технические условия
Название английское:
Flat thread chasers. Specifications
Даты и сроки
Дата издания:
12-21-88
Дата введения в действие:
01-01-90
Дата завершения срока действия:
-
Применение и описание
Область и условия применения:
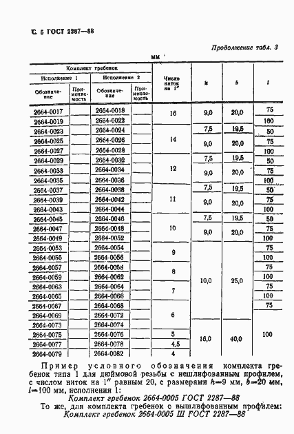
Настоящий стандарт распространяется на плоские гребенки в комплекте из 4 штук с вышлифованным профилем, предназначенные для нарезания метрической резьбы, трубной цилиндрической резьбы и дюймовой резьбы
Связи и замены
Заменяющий:
-
Взамен:
ГОСТ 2287-61
Описание стандарта
ГОСТ 2287-88 Гребенки резьбонарезные плоские. Технические условия
Страницы стандарта



















