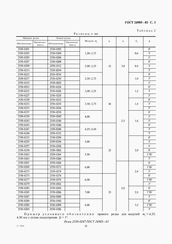
ГОСТ 24905-81 Резцы к зуборезным головкам для прямозубых конических колес. Конструкция и размеры
ГОСТ
Скачать ГОСТ в PDF или DOC бесплатно
Основная информация
Обозначение:
ГОСТ 24905-81
Статус:
Действует
Тип:
ГОСТ
Название русское:
Резцы к зуборезным головкам для прямозубых конических колес. Конструкция и размеры
Название английское:
Tools for straight bevel cutters. Design and dimensions
Даты и сроки
Дата издания:
12-01-03
Дата введения в действие:
01-01-83
Дата завершения срока действия:
-
Применение и описание
Область и условия применения:
Настоящий стандарт распространяется на резцы к зуборезным головкам диаметром 150, 278 и 450 мм для прямозубых конических колес, изготовляемые для нужд народного хозяйства и на экспорт
Связи и замены
Заменяющий:
-
Изменения и переиздания
Список изменений:
№1 от (рег. ) «Срок действия продлен»
Описание стандарта
ГОСТ 24905-81 Резцы к зуборезным головкам для прямозубых конических колес. Конструкция и размеры
Страницы стандарта






