ГОСТ 25399-90 Пластины твердосплавные напаиваемые типа 14. Конструкция и размеры
ГОСТ
Скачать ГОСТ в PDF или DOC бесплатно
Основная информация
Обозначение:
ГОСТ 25399-90
Статус:
Действует
Тип:
ГОСТ
Название русское:
Пластины твердосплавные напаиваемые типа 14. Конструкция и размеры
Название английское:
Hard metal brazed tips, type 14. Design and dimensions
Даты и сроки
Дата издания:
09-01-06
Дата введения в действие:
06-30-93
Дата завершения срока действия:
-
Применение и описание
Область и условия применения:
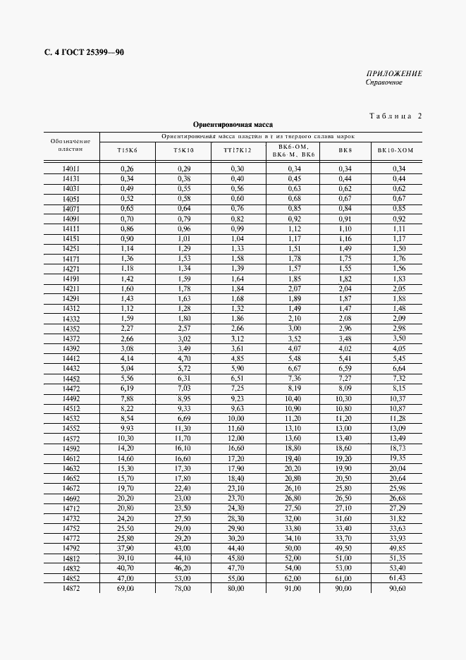
Настоящий стандарт распространяется на пластины для спиральных сверл и сверл с прямыми канавками
Связи и замены
Заменяющий:
-
Взамен:
ГОСТ 25399-82
Описание стандарта
ГОСТ 25399-90 Пластины твердосплавные напаиваемые типа 14. Конструкция и размеры
Страницы стандарта





