ГОСТ 26479-85 Протяжки для квадратных отверстий со стороной от 12,5 до 60 мм. Двухпроходные. Конструкция и размеры
ГОСТ
Скачать ГОСТ в PDF или DOC бесплатно
Основная информация
Обозначение:
ГОСТ 26479-85
Статус:
Действует
Тип:
ГОСТ
Название русское:
Протяжки для квадратных отверстий со стороной от 12,5 до 60 мм. Двухпроходные. Конструкция и размеры
Название английское:
Double-pass square broaches for holes with sides from 12,5 to 60 mm. Design and dimensions
Даты и сроки
Дата издания:
09-25-85
Дата введения в действие:
06-30-86
Дата завершения срока действия:
-
Применение и описание
Область и условия применения:
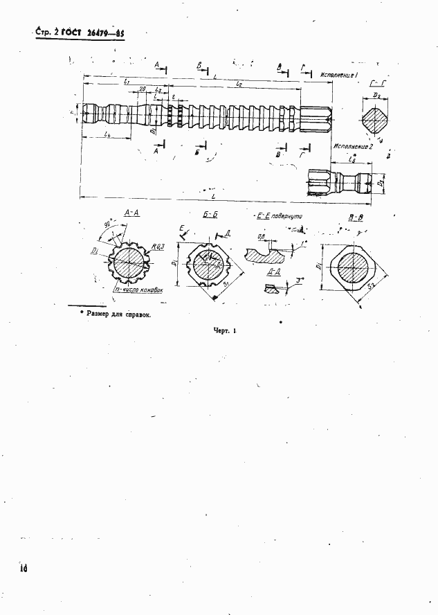
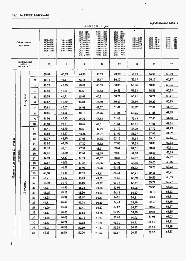
Настоящий стандарт распространяется на двухпроходные протяжки универсального назначения, предназначенные для обработки квадратных отверстий со стороной от 12,5 до 60 мм
Связи и замены
Заменяющий:
-
Взамен:
МН 4935-63
Изменения и переиздания
Список изменений:
№1 от (рег. ) «Срок действия продлен»
Описание стандарта
ГОСТ 26479-85 Протяжки для квадратных отверстий со стороной от 12,5 до 60 мм. Двухпроходные. Конструкция и размеры
Страницы стандарта











































