ГОСТ 2679-93 Фрезы прорезные и отрезные. Технические условия
ГОСТ
Скачать ГОСТ в PDF или DOC бесплатно
Основная информация
Обозначение:
ГОСТ 2679-93
Статус:
Заменен
Тип:
ГОСТ
Название русское:
Фрезы прорезные и отрезные. Технические условия
Название английское:
Metal slitting and cutting-off saws. Specifications
Даты и сроки
Дата регистрации:
03-15-94
Дата издания:
08-01-08
Дата введения в действие:
06-30-96
Дата завершения срока действия:
01-01-16
Применение и описание
Область и условия применения:
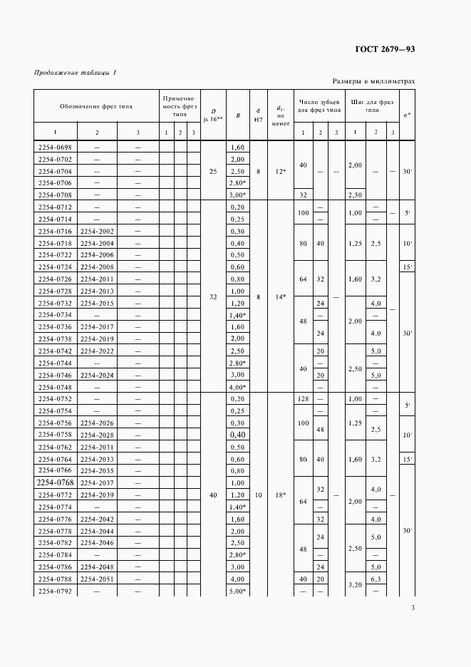
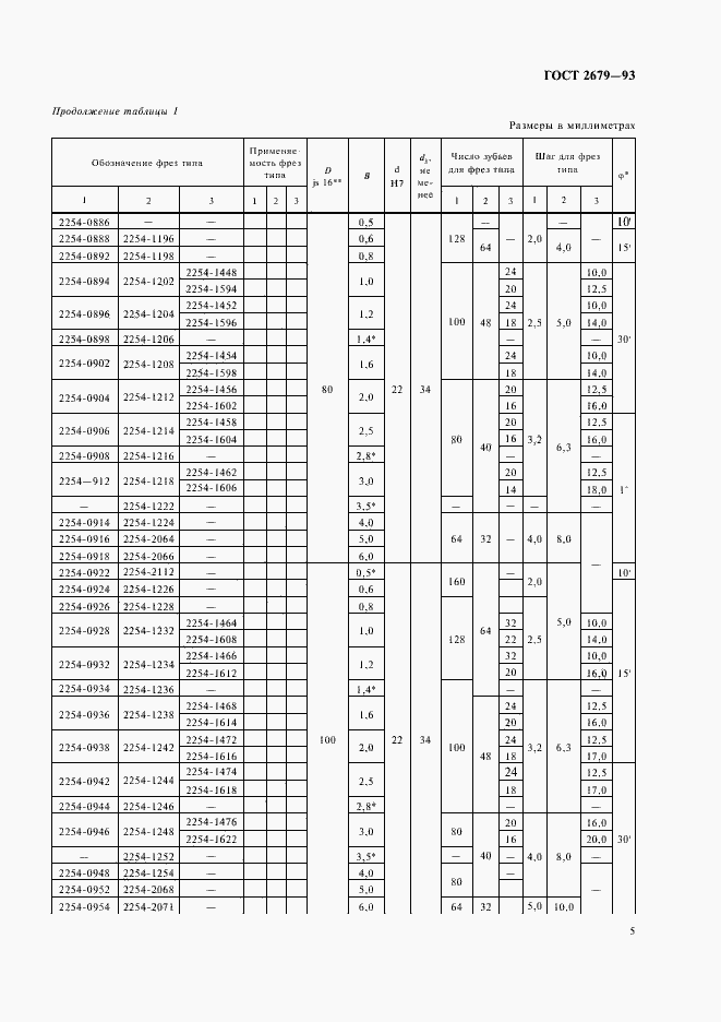
Настоящий стандарт распространяется на дисковые фрезы, предназначенные для прорезки прямых шлицев по ГОСТ 24669, пазов и отрезных работ в изделиях из стали и черных металлов
Связи и замены
Заменяющий:
ГОСТ 2679-2014
Взамен:
ГОСТ 2679-73
Описание стандарта
ГОСТ 2679-93 Фрезы прорезные и отрезные. Технические условия
Страницы стандарта





















