ГОСТ 28050-89 Протяжки с навертным хвостовиком для шлицевых отверстий с эвольвентным профилем диаметром от 55 до 130 мм, модулем от 3 до 5 мм с центрированием по наружному диаметру. Конструкция
ГОСТ
Скачать ГОСТ в PDF или DOC бесплатно
Основная информация
Обозначение:
ГОСТ 28050-89
Статус:
Действует
Тип:
ГОСТ
Название русское:
Протяжки с навертным хвостовиком для шлицевых отверстий с эвольвентным профилем диаметром от 55 до 130 мм, модулем от 3 до 5 мм с центрированием по наружному диаметру. Конструкция
Название английское:
Broaches with diameter from 55 to 130 mm for slitting holes with involute profile with round tail and centring at outside diameter with modul from 3 to 5 mm. Construction
Даты и сроки
Дата издания:
10-03-89
Дата введения в действие:
06-30-90
Дата завершения срока действия:
-
Применение и описание
Область и условия применения:
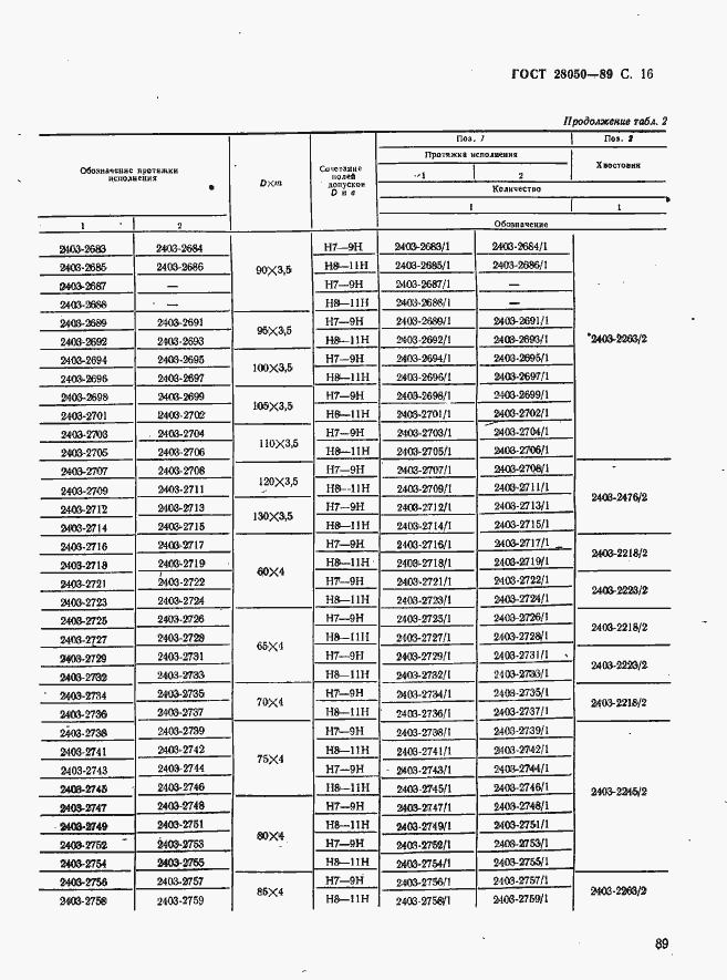
Настоящий стандарт распространяется на однопроходные протяжки универсального назначения с навертным хвостовиком диаметром D от 55 до 130 мм модулем m от 3 до 5 мм, предназначенные для обработки шлицевых втулок с эвольвентным профилем по ГОСТ 6033 с центрированием по наружному диаметру
Связи и замены
Заменяющий:
-
Описание стандарта
ГОСТ 28050-89 Протяжки с навертным хвостовиком для шлицевых отверстий с эвольвентным профилем диаметром от 55 до 130 мм, модулем от 3 до 5 мм с центрированием по наружному диаметру. Конструкция
Страницы стандарта


































































