ГОСТ 28321-89 Развертки машинные, оснащенные твердосплавными напаиваемыми пластинами. Типы, параметры и размеры
ГОСТ
Скачать ГОСТ в PDF или DOC бесплатно
Основная информация
Обозначение:
ГОСТ 28321-89
Статус:
Действует
Тип:
ГОСТ
Название русское:
Развертки машинные, оснащенные твердосплавными напаиваемыми пластинами. Типы, параметры и размеры
Название английское:
Cemented carbide tipped machine reamers. Types, parameters and dimensions
Даты и сроки
Дата издания:
12-01-05
Дата введения в действие:
01-01-91
Дата завершения срока действия:
-
Применение и описание
Область и условия применения:
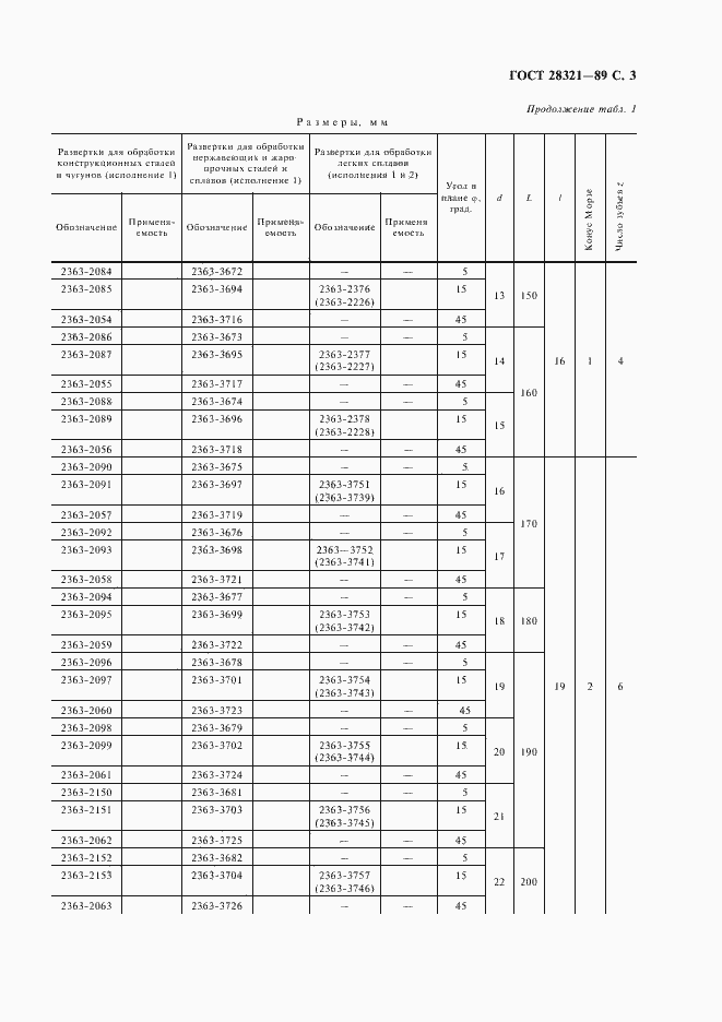
Настоящий стандарт распространяется на машинные развертки, оснащенные твердосплавными напаиваемыми пластинами, для обработки отверстий без кондукторных втулок
Связи и замены
Заменяющий:
-
Взамен:
ГОСТ 11175-80;ГОСТ 19270-73;ГОСТ 20391-74;ГОСТ 21525-76;ГОСТ 21526-76
Изменения и переиздания
Список изменений:
№0 от (рег. ) «Дата введения перенесена»
Описание стандарта
ГОСТ 28321-89 Развертки машинные, оснащенные твердосплавными напаиваемыми пластинами. Типы, параметры и размеры
Страницы стандарта



























Приложение №1: Поправка к ГОСТ 28321-89 Обозначение: Поправка к ГОСТ 28321-89 Дата введения в действие: 05.07.2011
