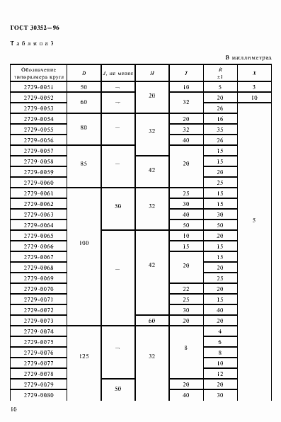
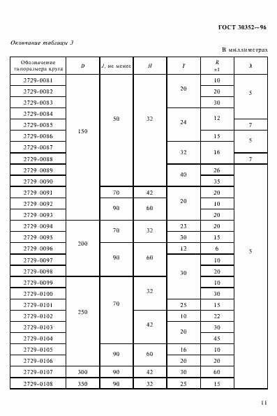
ГОСТ 30352-96 Круги алмазные шлифовальные для обработки сортового и художественного стекла. Технические условия
ГОСТ
Скачать ГОСТ в PDF или DOC бесплатно
Основная информация
Обозначение:
ГОСТ 30352-96
Статус:
Утратил силу в РФ
Тип:
ГОСТ
Название русское:
Круги алмазные шлифовальные для обработки сортового и художественного стекла. Технические условия
Название английское:
Diamond grinding wheels for processeing glass of high guality and art. Specifications
Даты и сроки
Дата регистрации:
04-12-96
Дата издания:
02-11-97
Дата введения в действие:
01-01-97
Дата завершения срока действия:
01-01-12
Применение и описание
Область и условия применения:
Настоящий стандарт распространяется на алмазные шлифовальные круги, предназначенные для обработки стекла, керамики, кварца и других неметаллических предметов
Связи и замены
Заменяющий:
-
Изменения и переиздания
Список изменений:
№0 от (рег. ) «Дата введения перенесена» №0 от (рег. ) «Поправка к изменению»
Описание стандарта
ГОСТ 30352-96 Круги алмазные шлифовальные для обработки сортового и художественного стекла. Технические условия
Страницы стандарта
























Приложение №2: Поправка к ГОСТ 30352-96 Обозначение: Поправка к ГОСТ 30352-96 Дата введения в действие: 15.07.2001

Приложение №3: Поправка к ГОСТ 30352-96 Обозначение: Поправка к ГОСТ 30352-96 Дата введения в действие: 14.07.2001
