ГОСТ 3231-71 Зенкеры, оснащенные твердосплавными пластинами. Конструкция и размеры
ГОСТ
Скачать ГОСТ в PDF или DOC бесплатно
Основная информация
Обозначение:
ГОСТ 3231-71
Статус:
Действует
Тип:
ГОСТ
Название русское:
Зенкеры, оснащенные твердосплавными пластинами. Конструкция и размеры
Название английское:
Carbide tipped counterbores. Design and dimensions
Даты и сроки
Дата издания:
10-01-92
Дата введения в действие:
06-30-72
Дата завершения срока действия:
-
Применение и описание
Область и условия применения:
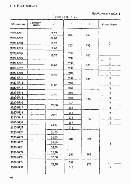
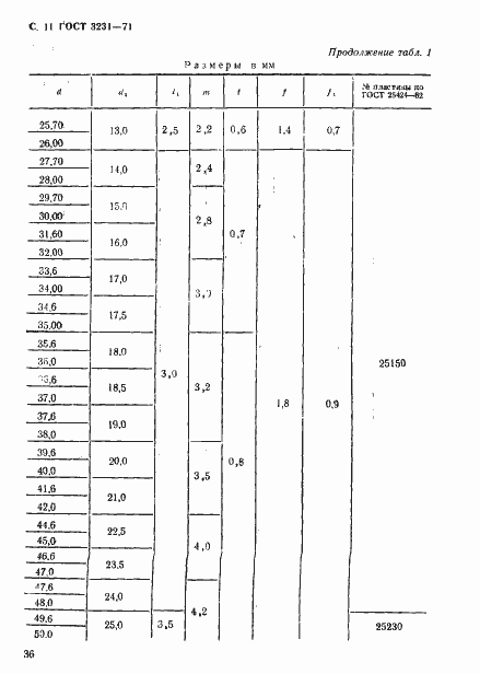
Настоящий стандарт распространяется на цельные зенкеры с коническим хвостовиком и насадные зенкеры, оснащенные твердосплавными пластинами, предназначенные для обработки отверстий в деталях из чугуна и стали
Связи и замены
Заменяющий:
-
Взамен:
ГОСТ 3231-67;МН 706-60;МН 707-60;МН 708-60;МН 715-60
Изменения и переиздания
Список изменений:
№1 от (рег. ) «Срок действия продлен» №2 от (рег. ) «Поправка»
Описание стандарта
ГОСТ 3231-71 Зенкеры, оснащенные твердосплавными пластинами. Конструкция и размеры
Страницы стандарта















