ГОСТ 3266-81 Метчики машинные и ручные. Конструкция и размеры
ГОСТ
Скачать ГОСТ в PDF или DOC бесплатно
Основная информация
Обозначение:
ГОСТ 3266-81
Статус:
Действует
Тип:
ГОСТ
Название русское:
Метчики машинные и ручные. Конструкция и размеры
Название английское:
Machine and hand taps. Design and dimensions
Даты и сроки
Дата издания:
02-01-03
Дата введения в действие:
06-30-82
Дата завершения срока действия:
-
Применение и описание
Область и условия применения:
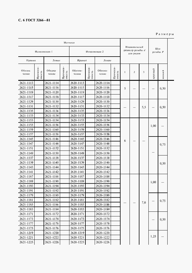
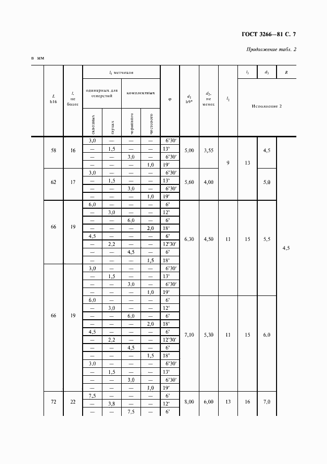
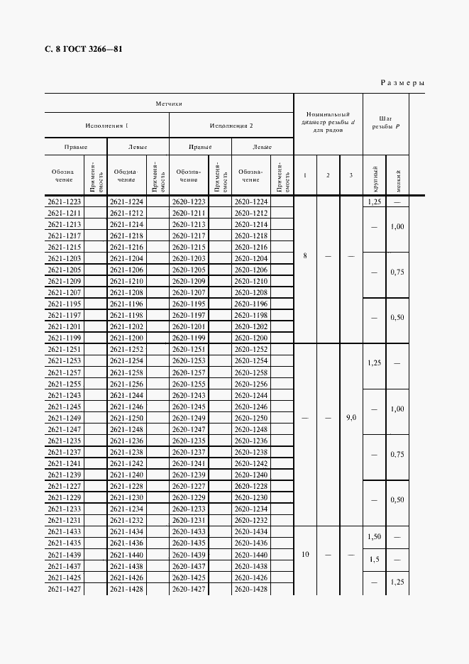
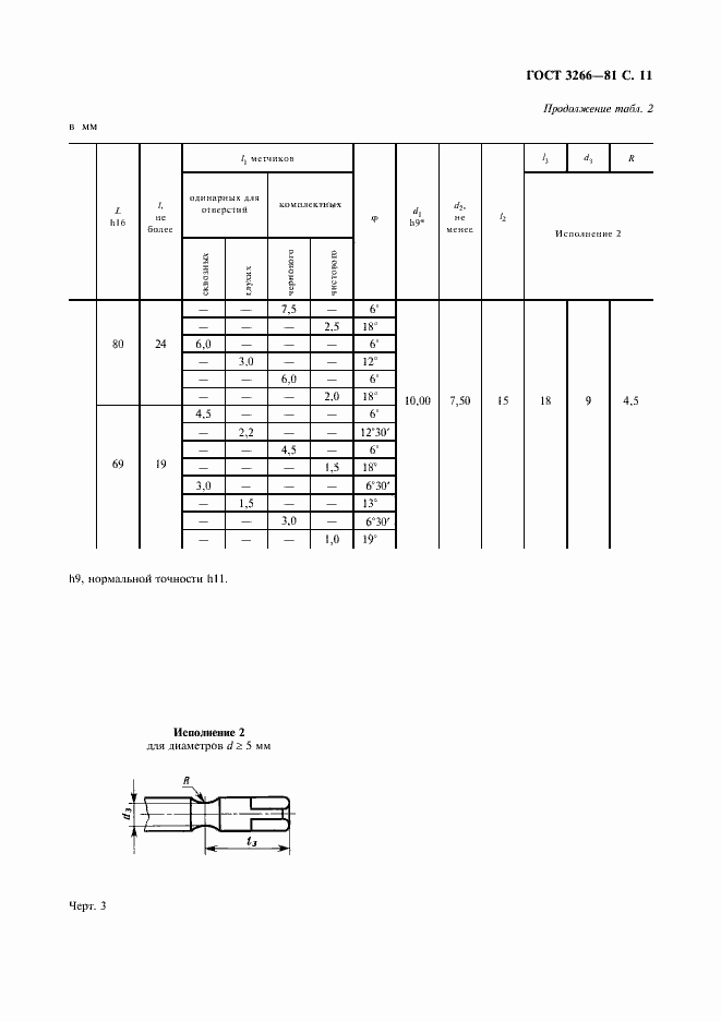
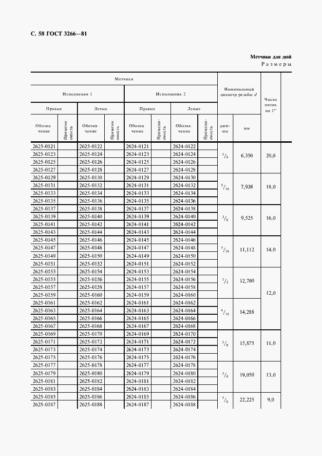
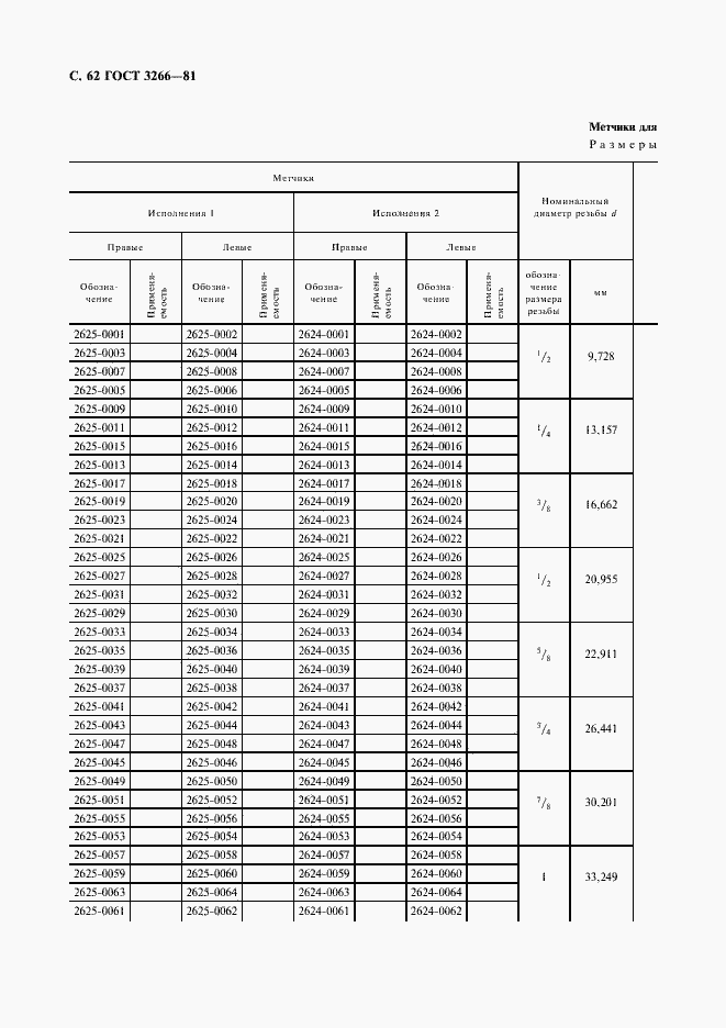
Настоящий стандарт распространяется на машинные и ручные метчики для нарезания метрической резьбы по ГОСТ 24705-81, трубной резьбы по ГОСТ 6357-81 и дюймовой резьбы по ОСТ НКТП 1260
Связи и замены
Заменяющий:
-
Взамен:
ГОСТ 3266-71
Изменения и переиздания
Список изменений:
№0 от (рег. ) «Дата введения перенесена» №1 от (рег. ) «Поправка»
Описание стандарта
ГОСТ 3266-81 Метчики машинные и ручные. Конструкция и размеры
Страницы стандарта












































































Приложение №2: Поправка к ГОСТ 3266-81 Обозначение: Поправка к ГОСТ 3266-81 Дата введения в действие: 11.04.2018

Приложение №2: Поправка к ГОСТ 3266-81 Обозначение: Поправка к ГОСТ 3266-81 Дата введения в действие: 11.04.2018
