ГОСТ 3509-71 Развертки ручные разжимные. Конструкция и размеры
ГОСТ
Скачать ГОСТ в PDF или DOC бесплатно
Основная информация
Обозначение:
ГОСТ 3509-71
Статус:
Действует
Тип:
ГОСТ
Название русское:
Развертки ручные разжимные. Конструкция и размеры
Название английское:
Adjustable hand reamers. Basic dimensions
Даты и сроки
Дата издания:
10-01-81
Дата введения в действие:
06-30-72
Дата завершения срока действия:
-
Применение и описание
Область и условия применения:
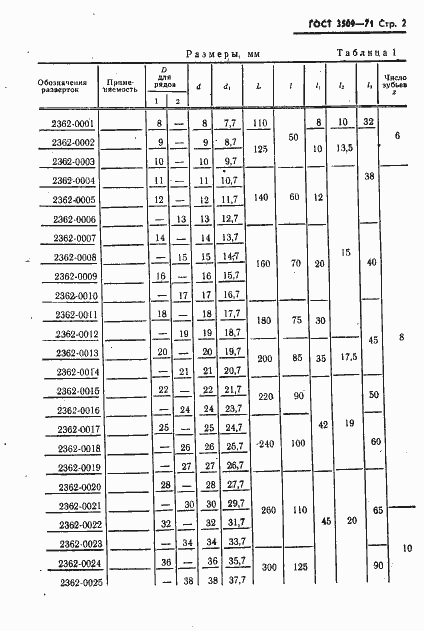
Настоящий стандарт устанавливает основные размеры разверток ручных разжимных
Связи и замены
Заменяющий:
-
Взамен:
ГОСТ 3509-65
Изменения и переиздания
Список изменений:
№1 от (рег. ) «Срок действия продлен»
Описание стандарта
ГОСТ 3509-71 Развертки ручные разжимные. Конструкция и размеры
Страницы стандарта



