ГОСТ 7722-77 Развертки ручные цилиндрические. Конструкция и размеры
ГОСТ
Скачать ГОСТ в PDF или DOC бесплатно
Основная информация
Обозначение:
ГОСТ 7722-77
Статус:
Действует
Тип:
ГОСТ
Название русское:
Развертки ручные цилиндрические. Конструкция и размеры
Название английское:
Cylindrical hands reamers. Design and dimensions
Даты и сроки
Дата издания:
09-01-86
Дата введения в действие:
06-30-71
Дата завершения срока действия:
-
Применение и описание
Область и условия применения:
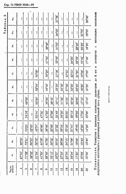
Настоящий стандарт распространяется на цилиндрические ручные развертки с прямыми и винтовыми канавками: чистовые - для обработки отверстий с полями допусков; с припуском под доводку; черновые - с полем допуска
Связи и замены
Заменяющий:
-
Взамен:
ГОСТ 7722-70
Изменения и переиздания
Список изменений:
№1 от (рег. ) «Срок действия продлен»
Описание стандарта
ГОСТ 7722-77 Развертки ручные цилиндрические. Конструкция и размеры
Страницы стандарта














