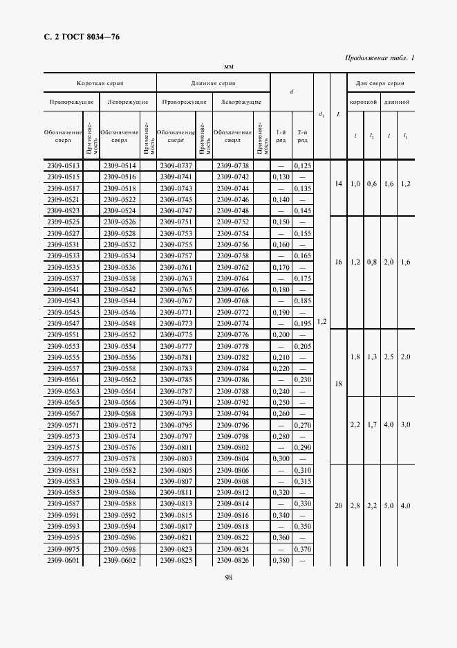
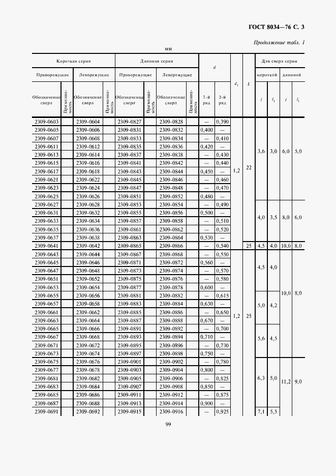
ГОСТ 8034-76 Сверла спиральные малоразмерные диаметром от 0,1 до 1,5 мм с утолщенным цилиндрическим хвостовиком. Технические условия
ГОСТ
Скачать ГОСТ в PDF или DOC бесплатно
Основная информация
Обозначение:
ГОСТ 8034-76
Статус:
Действует
Тип:
ГОСТ
Название русское:
Сверла спиральные малоразмерные диаметром от 0,1 до 1,5 мм с утолщенным цилиндрическим хвостовиком. Технические условия
Название английское:
Small spiral drills with dimeter from 0,1 to 1,5 mm and thickened cylindrical tails. Specifications
Даты и сроки
Дата издания:
07-01-03
Дата введения в действие:
01-01-78
Дата завершения срока действия:
-
Применение и описание
Область и условия применения:
Настоящий стандарт распространяется на малоразмерные спиральные сверла длинной и короткой серий диаметром от 0,1 до 1,5 мм с утолщенным цилиндрическим хвостовиком
Связи и замены
Заменяющий:
-
Взамен:
ГОСТ 8034-67
Изменения и переиздания
Список изменений:
№1 от (рег. ) «Срок действия продлен» №2 от (рег. ) «Срок действия продлен»
Описание стандарта
ГОСТ 8034-76 Сверла спиральные малоразмерные диаметром от 0,1 до 1,5 мм с утолщенным цилиндрическим хвостовиком. Технические условия
Страницы стандарта








