ГОСТ 886-77 Сверла спиральные с цилиндрическим хвостовиком. Длинная серия. Основные размеры
ГОСТ
Скачать ГОСТ в PDF или DOC бесплатно
Основная информация
Обозначение:
ГОСТ 886-77
Статус:
Действует
Тип:
ГОСТ
Название русское:
Сверла спиральные с цилиндрическим хвостовиком. Длинная серия. Основные размеры
Название английское:
Twist drills with parallel shanks. Long series. Basic dimensions
Даты и сроки
Дата издания:
07-01-03
Дата введения в действие:
01-01-79
Дата завершения срока действия:
-
Применение и описание
Область и условия применения:
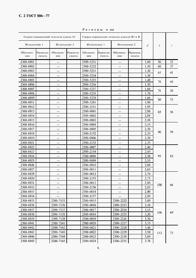
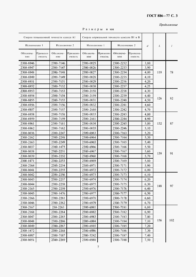
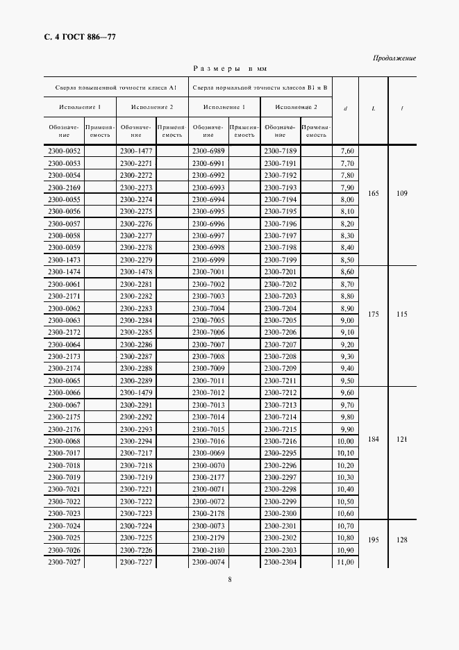
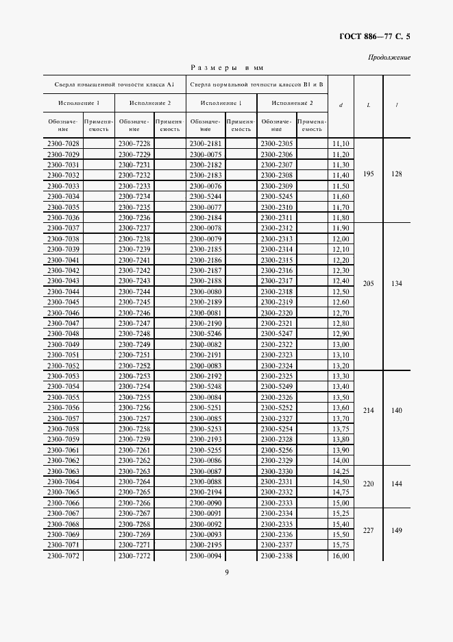
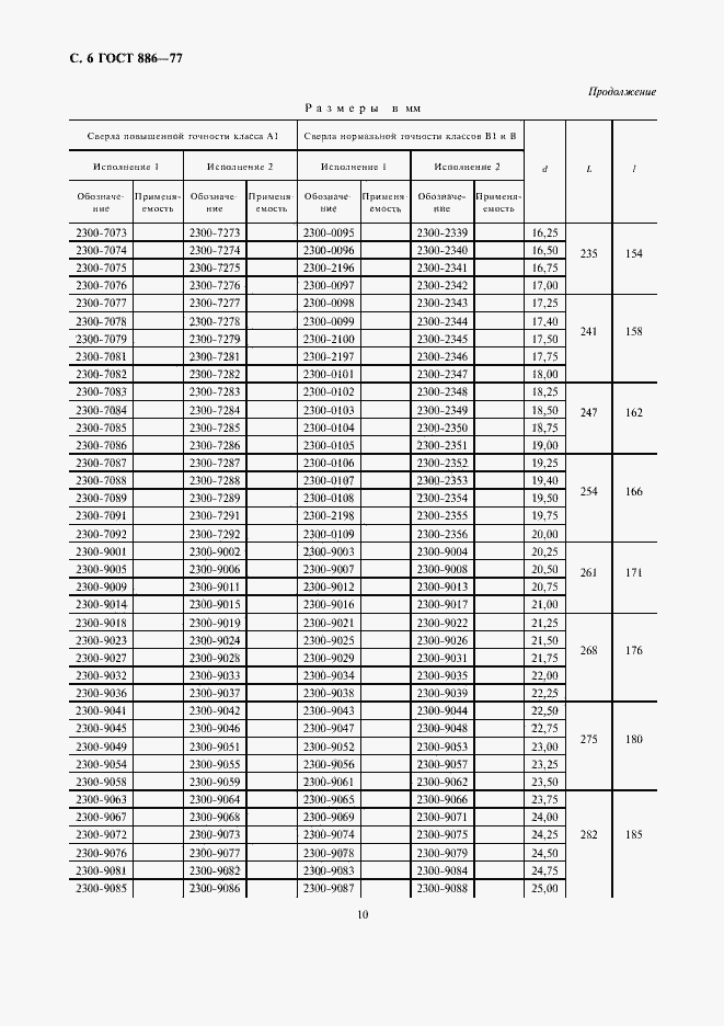
Настоящий стандарт распространяется на спиральные сверла с цилиндрическим хвостовиком от 1,0 мм до 20 мм
Связи и замены
Заменяющий:
-
Взамен:
ГОСТ 886-64;МН 552-65
Изменения и переиздания
Список изменений:
№1 от (рег. ) «Срок действия продлен» №2 от (рег. ) «Срок действия продлен»
Описание стандарта
ГОСТ 886-77 Сверла спиральные с цилиндрическим хвостовиком. Длинная серия. Основные размеры
Страницы стандарта








