ГОСТ 9323-79 Долбяки зуборезные чистовые. Технические условия
ГОСТ
Скачать ГОСТ в PDF или DOC бесплатно
Основная информация
Обозначение:
ГОСТ 9323-79
Статус:
Действует
Тип:
ГОСТ
Название русское:
Долбяки зуборезные чистовые. Технические условия
Название английское:
Finishing pinion type cutters. Technical conditions
Даты и сроки
Дата издания:
11-01-87
Дата введения в действие:
01-01-81
Дата завершения срока действия:
-
Применение и описание
Область и условия применения:
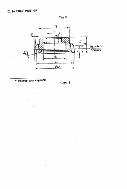
Настоящий стандарт распространяется на зуборезные чистовые дисковые, чашечные и хвостовые долбяки, предназначенные для обработки зубьев прямозубных и косозубных цилиндрических зубчатых колес
Связи и замены
Заменяющий:
-
Взамен:
ГОСТ 9323-60
Изменения и переиздания
Список изменений:
№1 от (рег. ) «Срок действия продлен» №2 от (рег. ) «Срок действия продлен»
Описание стандарта
ГОСТ 9323-79 Долбяки зуборезные чистовые. Технические условия
Страницы стандарта







































































