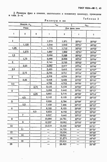
ГОСТ 9324-80 Фрезы червячные чистовые однозаходные для цилиндрических зубчатых колес с эвольвентным профилем. Технические условия
ГОСТ
Скачать ГОСТ в PDF или DOC бесплатно
Основная информация
Обозначение:
ГОСТ 9324-80
Статус:
Заменен
Тип:
ГОСТ
Название русское:
Фрезы червячные чистовые однозаходные для цилиндрических зубчатых колес с эвольвентным профилем. Технические условия
Название английское:
Finishing single start hobbing cutters for cylindrical involute gears
Даты и сроки
Дата издания:
10-01-87
Дата введения в действие:
01-01-82
Дата завершения срока действия:
01-01-17
Применение и описание
Область и условия применения:
Настоящий стандарт распространяется на червячные чистовые фрезы для обработки зубчатых колес с эвольвентным профилем, изготовляемые для нужд народного хозяйства и на экспорт
Связи и замены
Заменяющий:
ГОСТ 9324-2015
Взамен:
ГОСТ 9324-60
Изменения и переиздания
Список изменений:
№1 от (рег. ) «Срок действия продлен» №2 от (рег. ) «Срок действия продлен»
Описание стандарта
ГОСТ 9324-80 Фрезы червячные чистовые однозаходные для цилиндрических зубчатых колес с эвольвентным профилем. Технические условия
Страницы стандарта

















































