ГОСТ Р 54879-2011 Представление и обмен данными по режущим инструментам. Часть 3. Справочный словарь по инструментальным средствам
ГОСТ Р
Скачать ГОСТ в PDF или DOC бесплатно
Основная информация
Обозначение:
ГОСТ Р 54879-2011
Статус:
Действует
Тип:
ГОСТ Р
Название русское:
Представление и обмен данными по режущим инструментам. Часть 3. Справочный словарь по инструментальным средствам
Название английское:
Cutting tool data representation and exchange. Part 3. Reference dictionary for tool items
Даты и сроки
Дата издания:
08-31-20
Дата введения в действие:
09-01-12
Дата завершения срока действия:
-
Применение и описание
Область и условия применения:
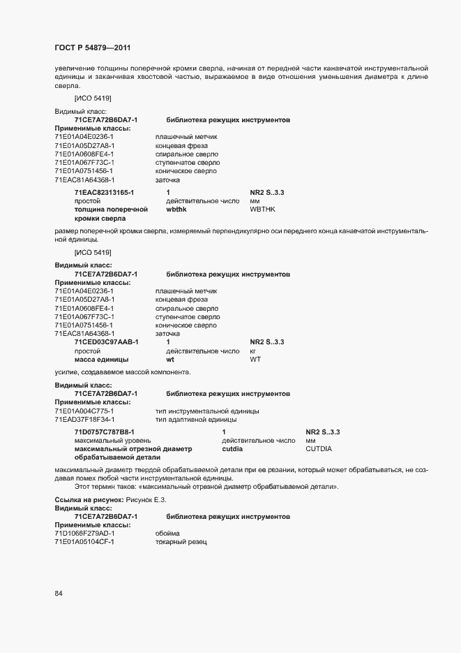
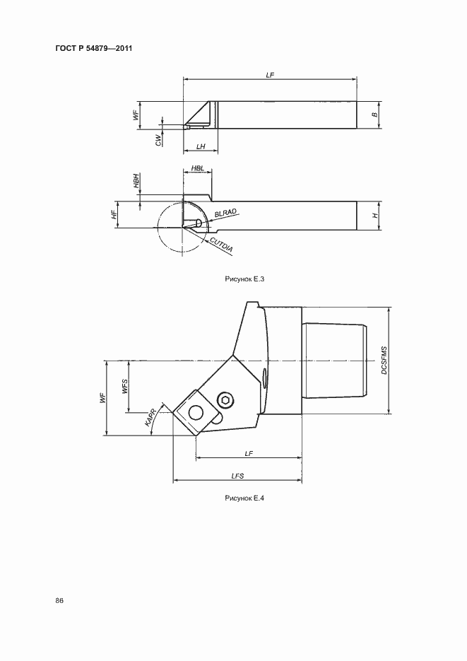
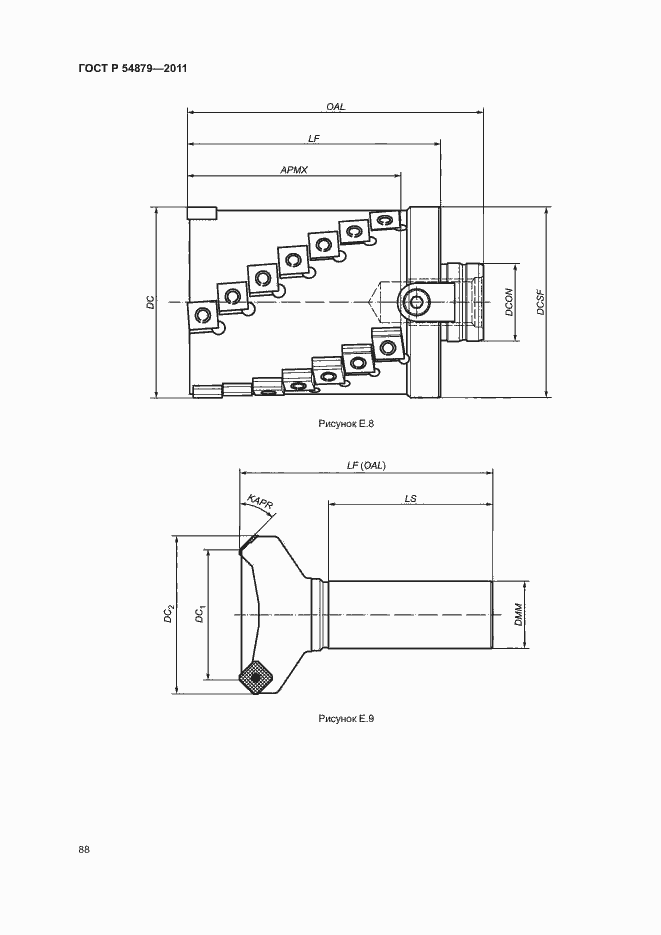
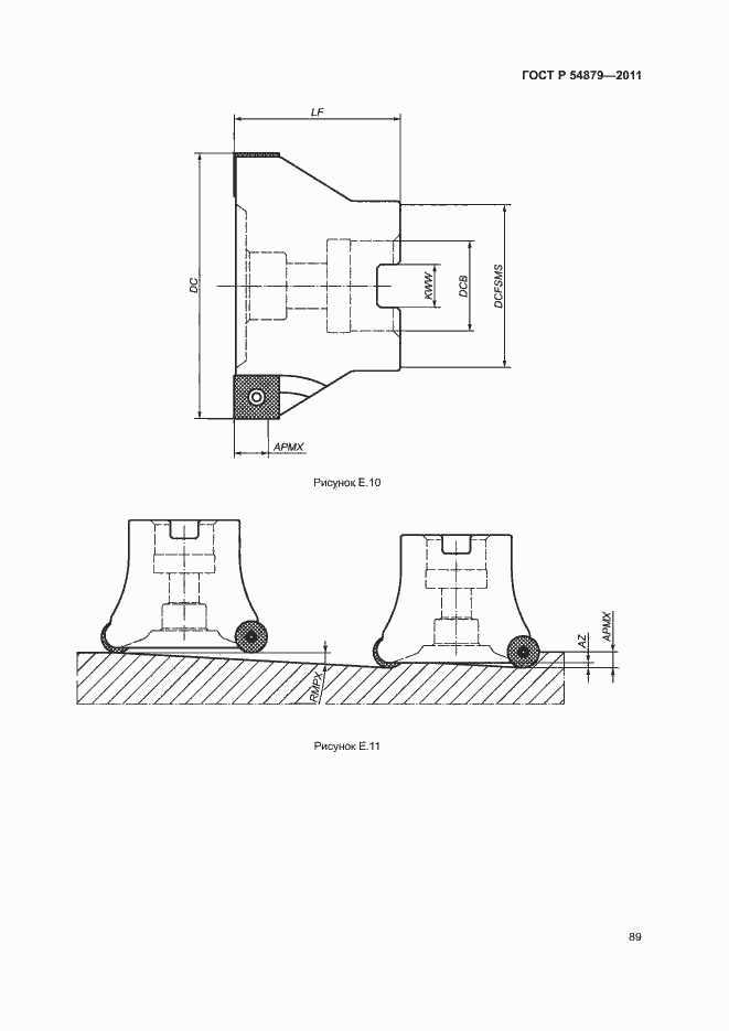
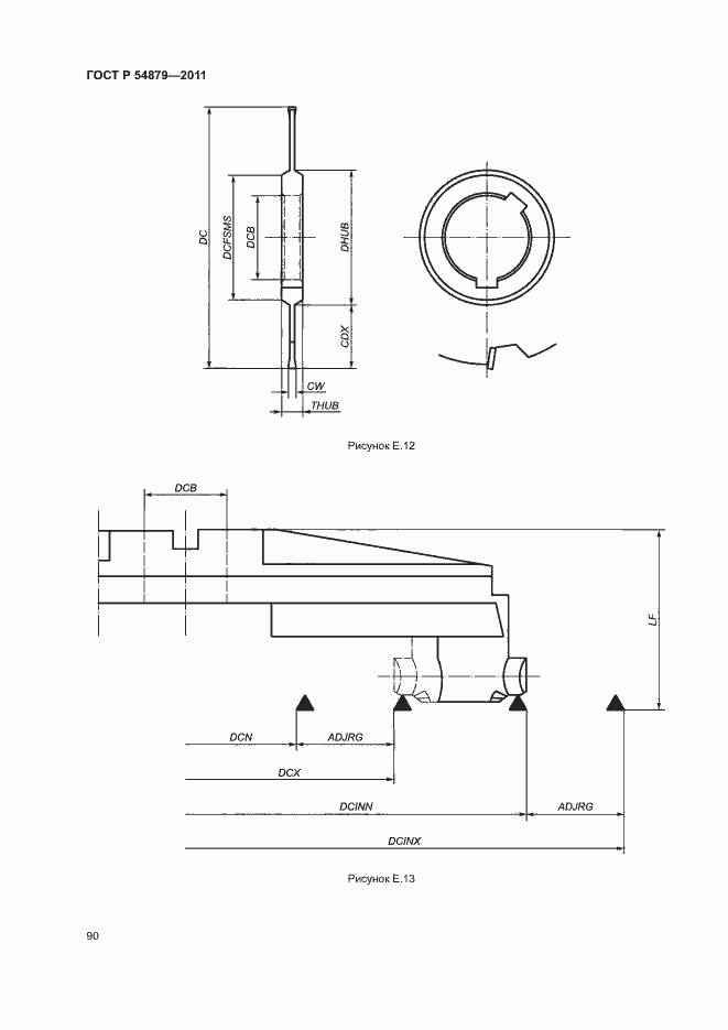
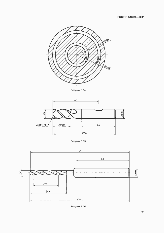
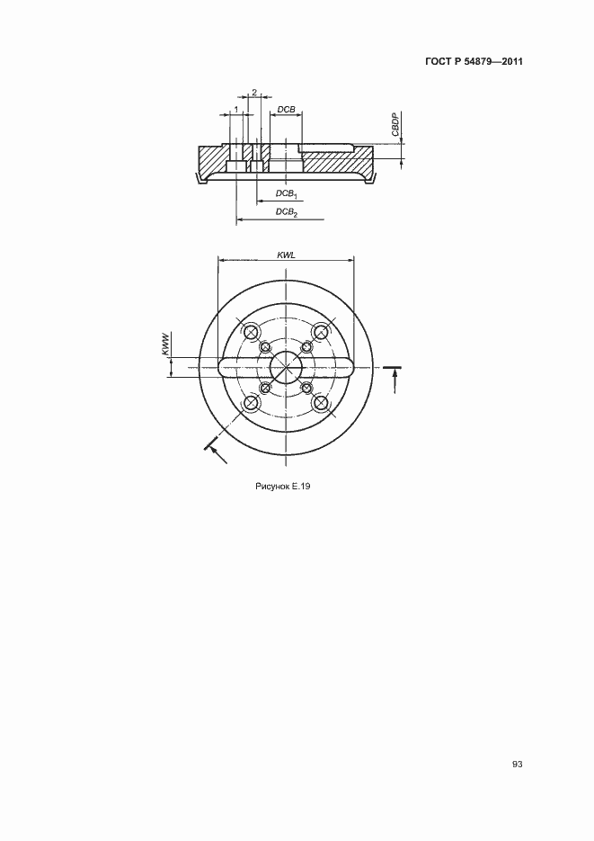
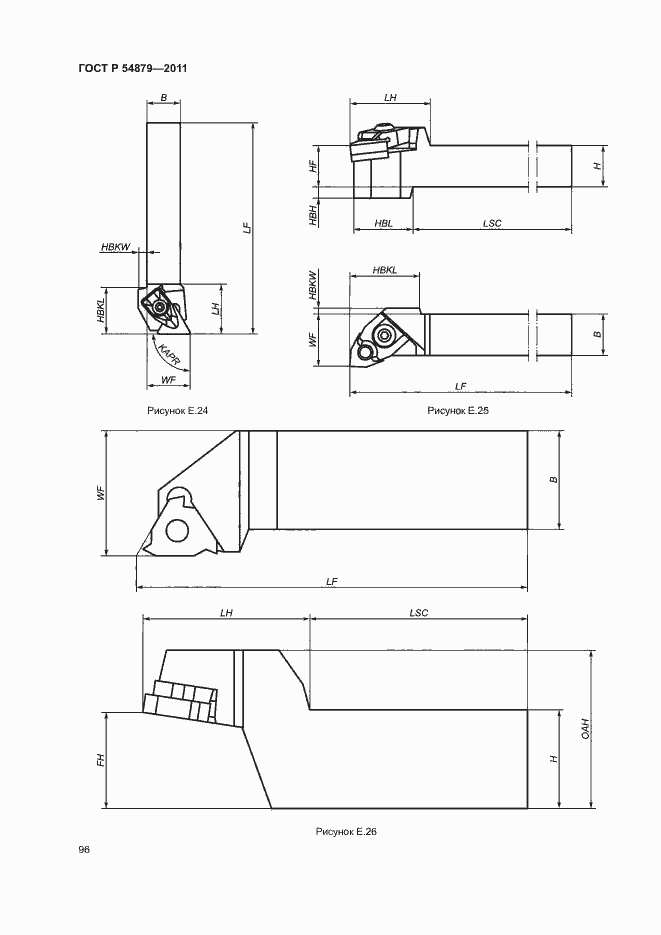
Настоящий стандарт устанавливает словарь ссылок по инструментальным средствам, а также их описательные свойства и домены значений. Настоящий стандарт устанавливает справочный словарь, содержащий: a) определения и обозначения всех классов инструментальных единиц, а также их характеристики и связанную с ними классификационную схему; b) определения и обозначения всех типов элементов данных, которые представляют характеристики инструментальных единиц и их особенностей; c) определения и обозначения всех областей допустимых значений для описания всех указанных выше типов элементов данных. Для каждого класса, характеристики или области допустимых значений в справочный словарь вводят данные, определенные в настоящем стандарте, и связывают их с компьютерно-зависимыми и удобочитаемыми обозначениями, идентификация которых позволяет получать однозначную ссылку на нее из любого приложения, в котором действует информационная модель ИСО 13399-11
Связи и замены
Заменяющий:
-
Описание стандарта
ГОСТ Р 54879-2011 Представление и обмен данными по режущим инструментам. Часть 3. Справочный словарь по инструментальным средствам
Страницы стандарта









































































































