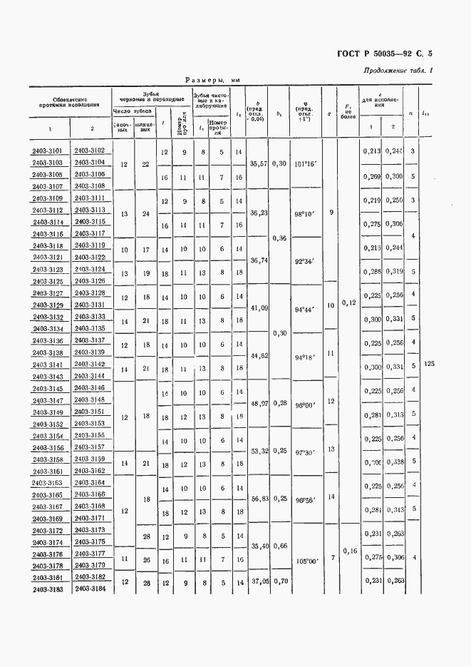
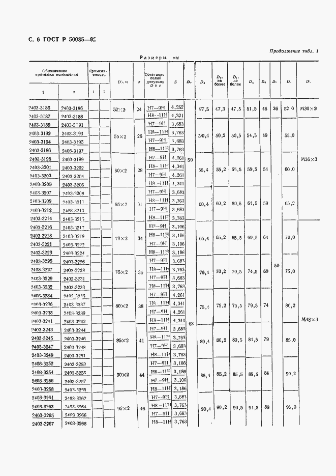
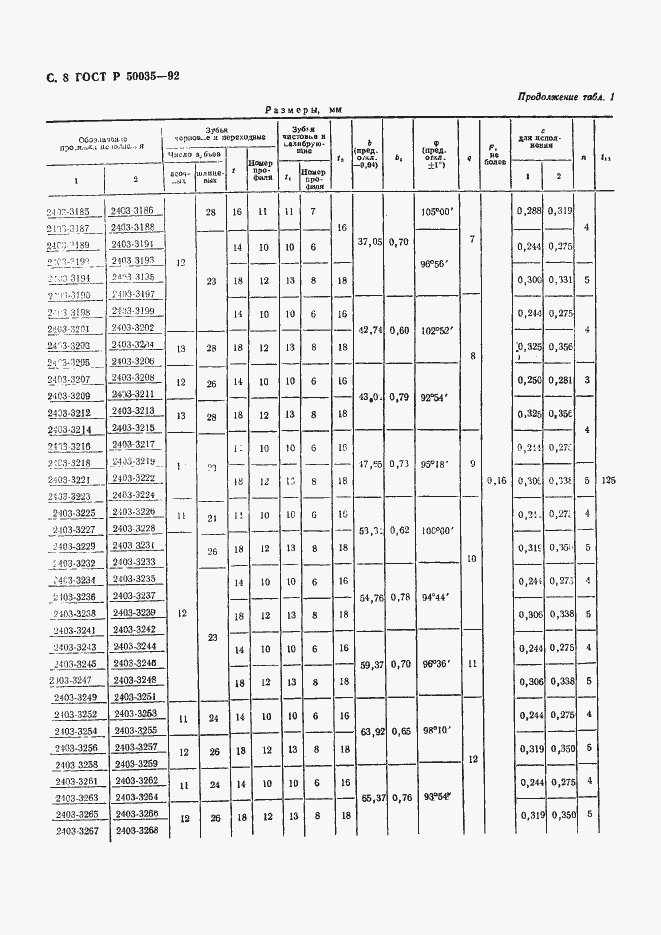
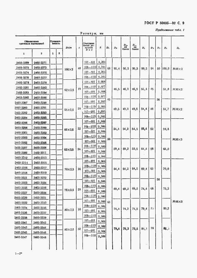
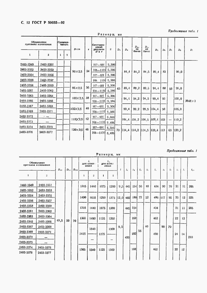
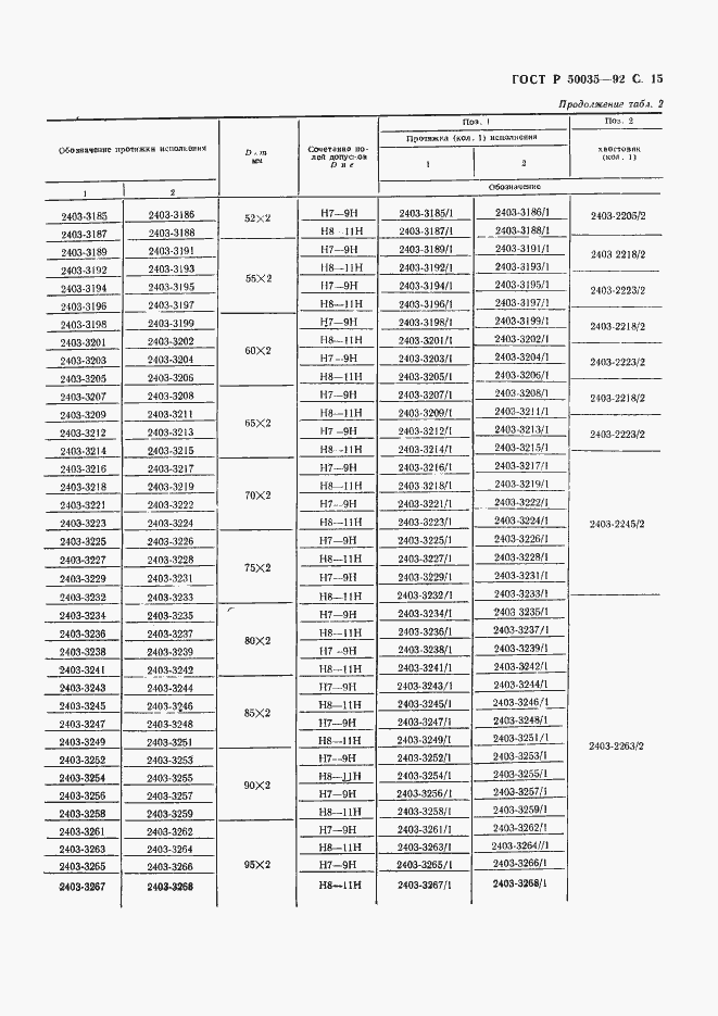
ГОСТ Р 50035-92 Протяжки с навертным хвостовиком для шлицевых отверстий с эвольвентным профилем диаметром от 50 до 120 мм, модулем от 1,5 до 2,5 мм с центрированием по наружному диаметру комбинированные. Конструкция
ГОСТ Р
Скачать ГОСТ в PDF или DOC бесплатно
Основная информация
Обозначение:
ГОСТ Р 50035-92
Статус:
Действует
Тип:
ГОСТ Р
Название русское:
Протяжки с навертным хвостовиком для шлицевых отверстий с эвольвентным профилем диаметром от 50 до 120 мм, модулем от 1,5 до 2,5 мм с центрированием по наружному диаметру комбинированные. Конструкция
Название английское:
Combined broaches with diameter from 50 to 120 mm for slitting holes with involute profile with wind round tail and centring at outside diameter with module from 1,5 to 2,5 mm. Construction
Даты и сроки
Дата издания:
11-17-92
Дата введения в действие:
01-01-93
Дата завершения срока действия:
-
Применение и описание
Область и условия применения:
Настоящий стандарт распространяется на комбинированные однопроходные протяжки универсального назначения с навертным хвостовиком диаметром D от 50 до 120 мм, модулем m от 1,5 до 2,5 мм, предназначенные для обработки шлицевых втулок с эвольвентным профилем по ГОСТ 6033 с центрированием по наружному диаметру
Связи и замены
Заменяющий:
-
Описание стандарта
ГОСТ Р 50035-92 Протяжки с навертным хвостовиком для шлицевых отверстий с эвольвентным профилем диаметром от 50 до 120 мм, модулем от 1,5 до 2,5 мм с центрированием по наружному диаметру комбинированные. Конструкция
Страницы стандарта



























































