ГОСТ 14672-83 Штампы для листовой штамповки. Блоки штампов с диагональным расположением шариковых направляющих узлов. Конструкция и размеры
ГОСТ
Скачать ГОСТ в PDF или DOC бесплатно
Основная информация
Обозначение:
ГОСТ 14672-83
Статус:
Действует
Тип:
ГОСТ
Название русское:
Штампы для листовой штамповки. Блоки штампов с диагональным расположением шариковых направляющих узлов. Конструкция и размеры
Название английское:
Sheet stamping dies. Die sets with diagonally positioned guide ball assemblies. Design and dimensions
Даты и сроки
Дата издания:
12-02-83
Дата введения в действие:
06-30-84
Дата завершения срока действия:
-
Применение и описание
Область и условия применения:
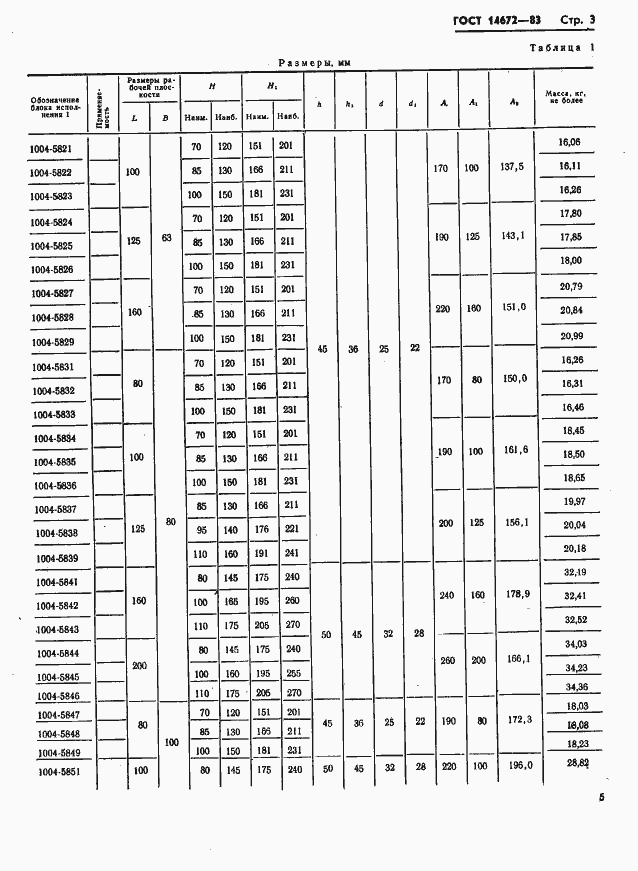
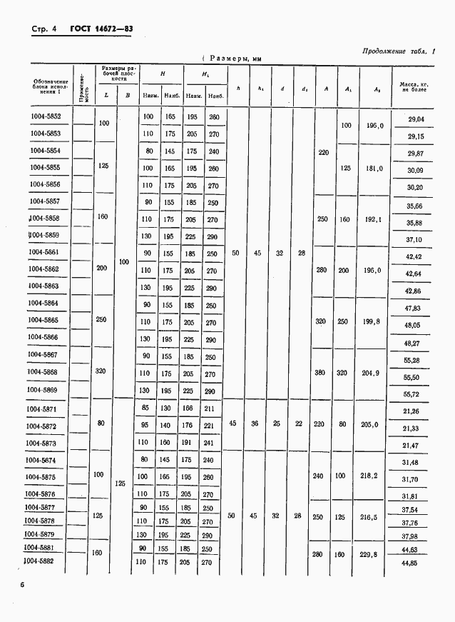
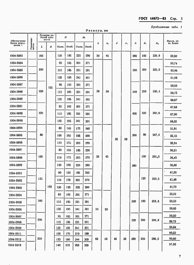
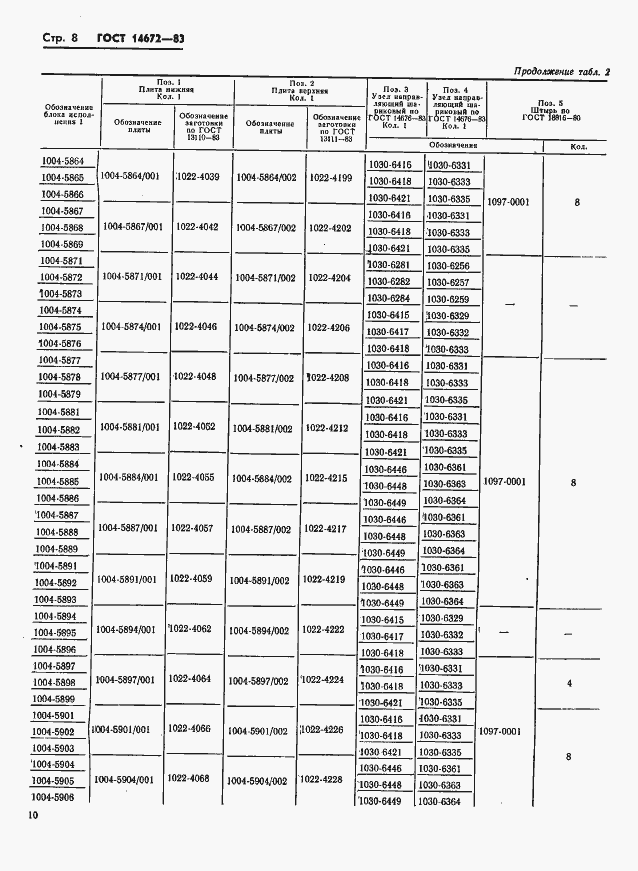
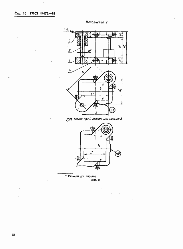
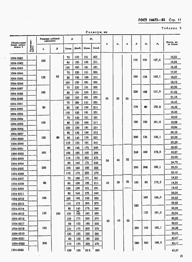
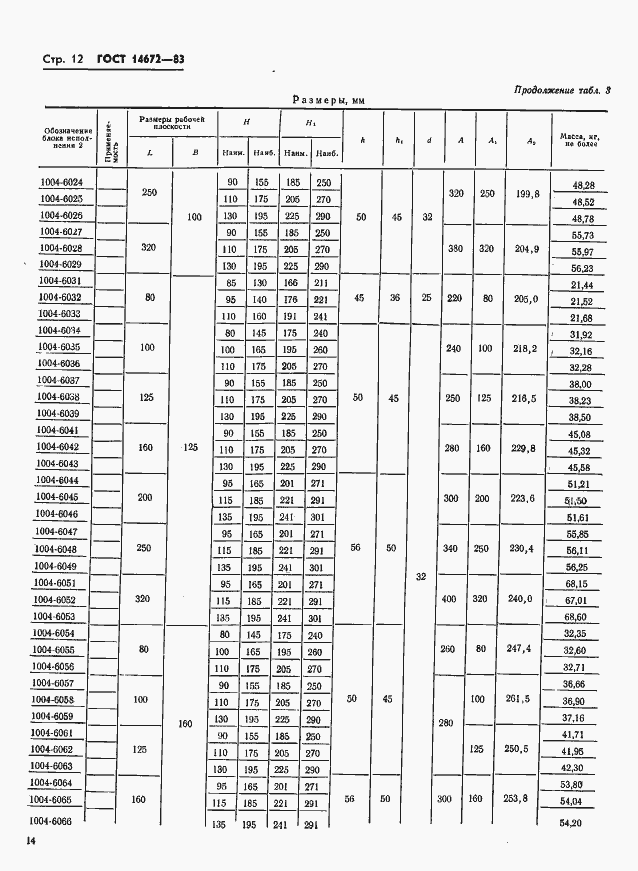
Настоящий стандарт распространяется на блоки штампов с диагональным расположением шариковых направляющих узлов и с плитами из стального литья
Связи и замены
Заменяющий:
-
Взамен:
ГОСТ 14672-80
Описание стандарта
ГОСТ 14672-83 Штампы для листовой штамповки. Блоки штампов с диагональным расположением шариковых направляющих узлов. Конструкция и размеры
Страницы стандарта


















