ГОСТ 14676-83 Штампы для листовой штамповки. Узлы направляющие шариковые для штампов. Конструкция и размеры
ГОСТ
Скачать ГОСТ в PDF или DOC бесплатно
Основная информация
Обозначение:
ГОСТ 14676-83
Статус:
Действует
Тип:
ГОСТ
Название русское:
Штампы для листовой штамповки. Узлы направляющие шариковые для штампов. Конструкция и размеры
Название английское:
Sheet stamping dies. Guide ball assemblies for dies. Design and dimensions
Даты и сроки
Дата издания:
12-02-83
Дата введения в действие:
06-30-84
Дата завершения срока действия:
-
Применение и описание
Область и условия применения:
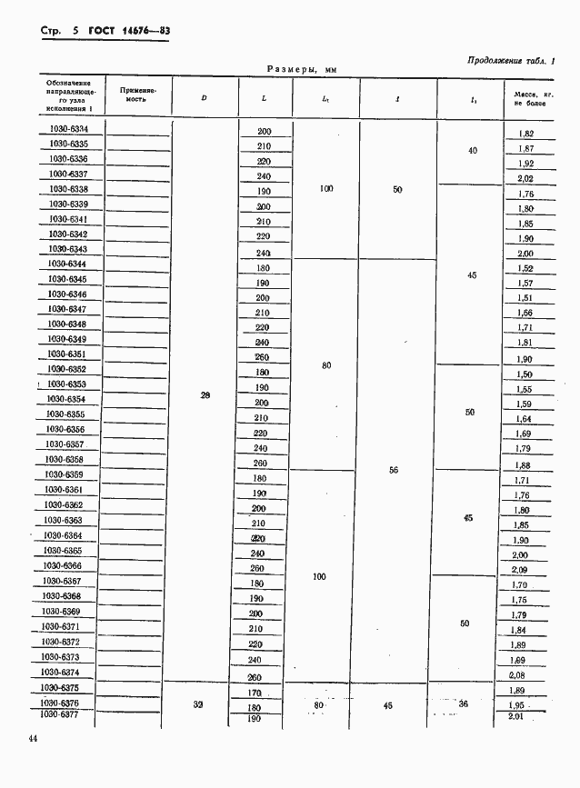
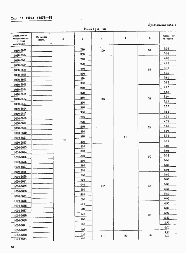
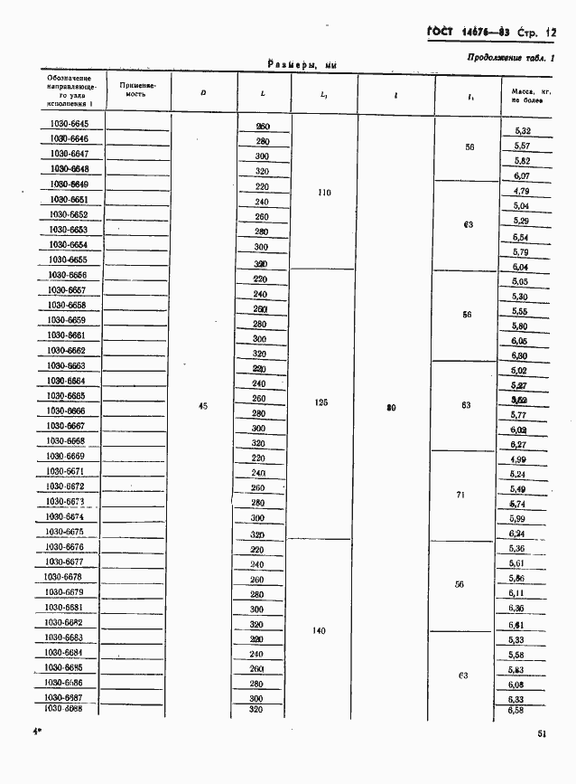
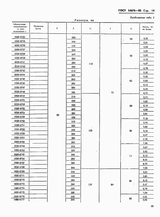
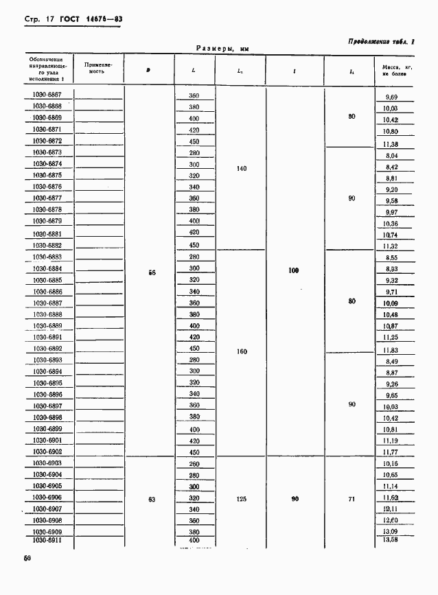
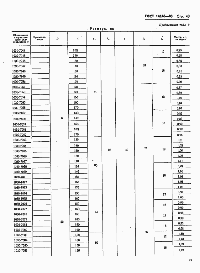
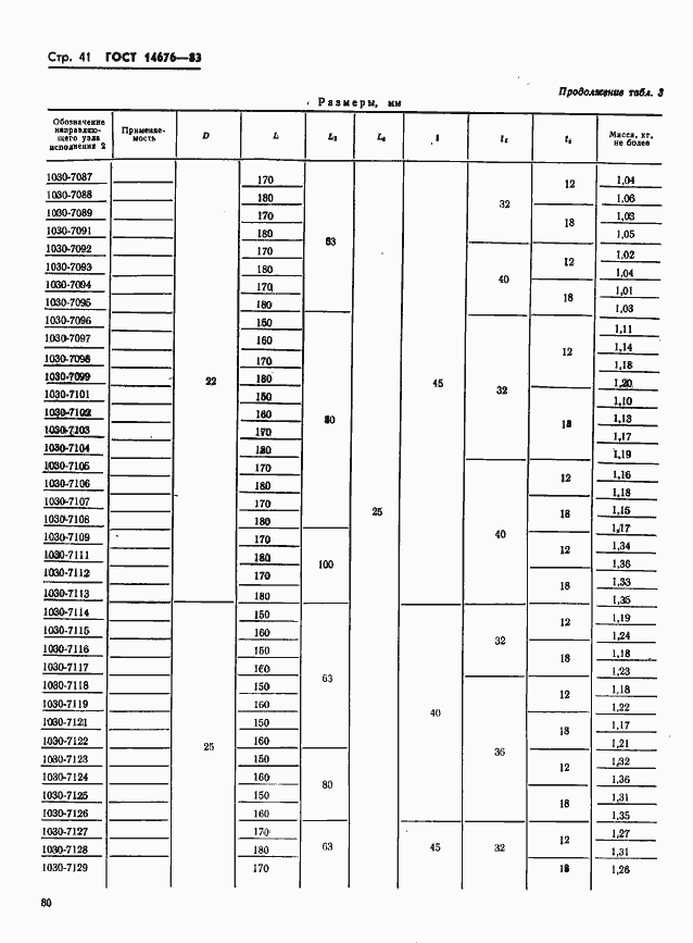
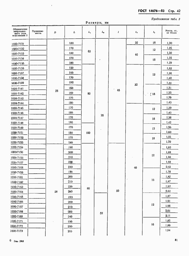
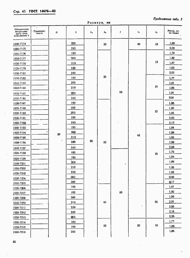
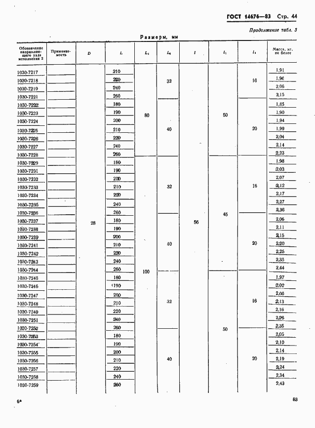
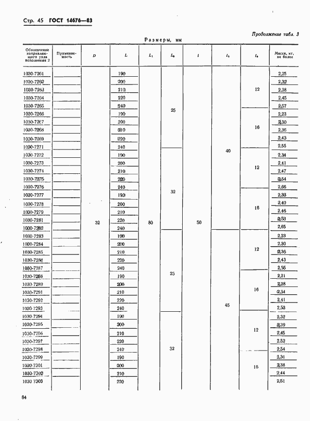
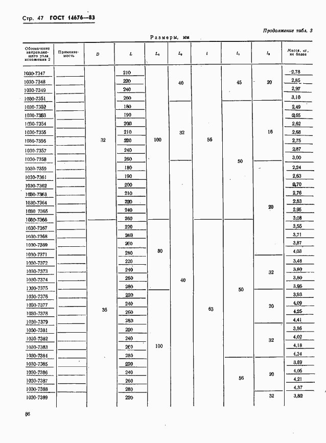
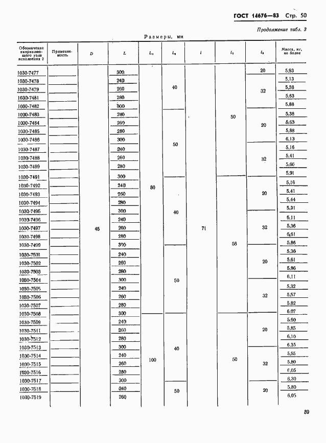
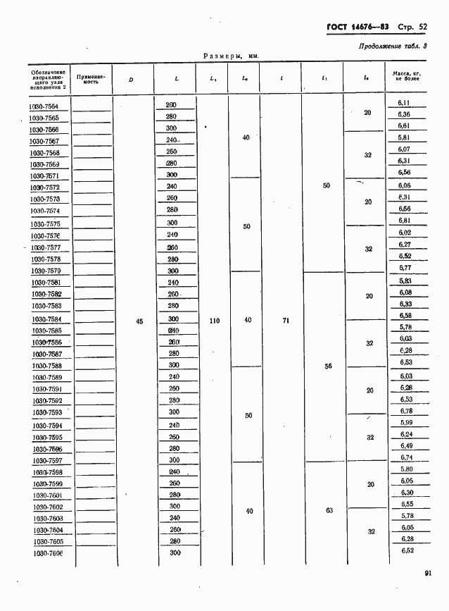
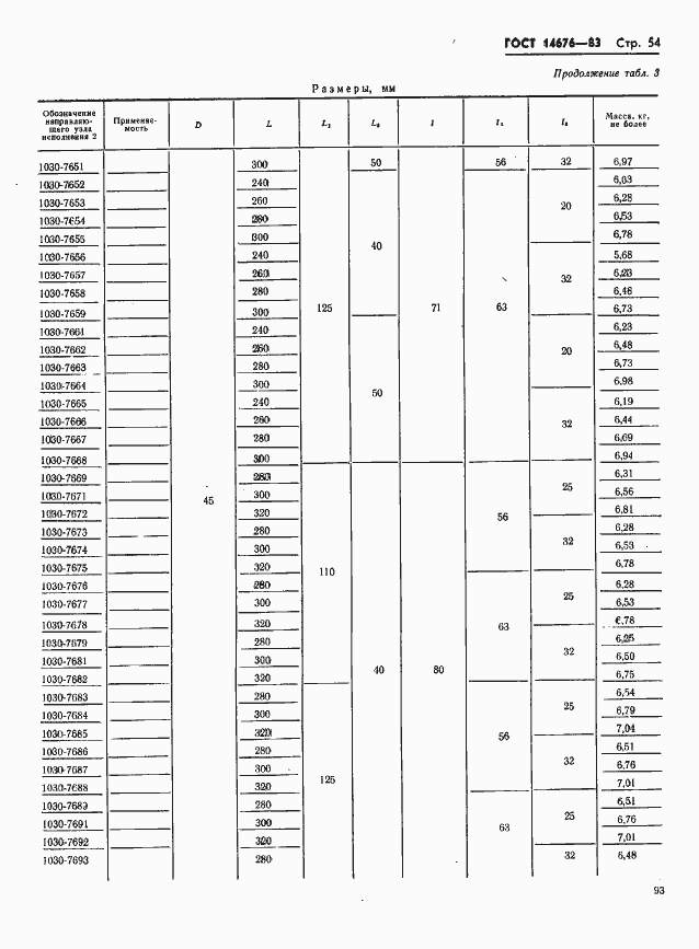
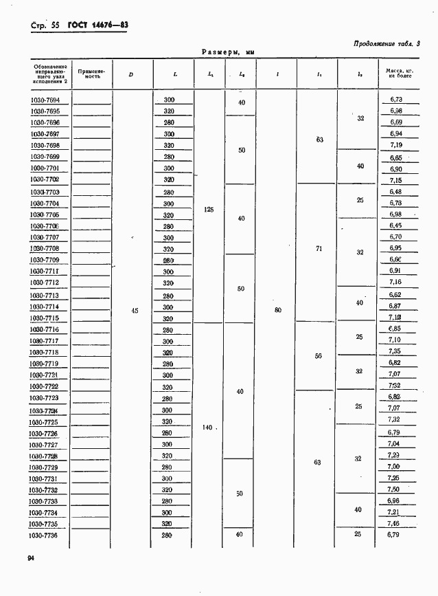
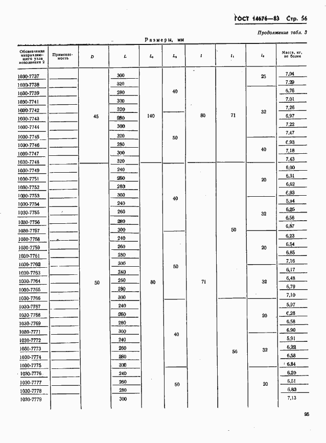
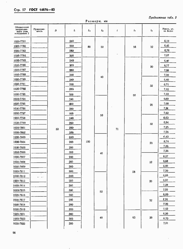
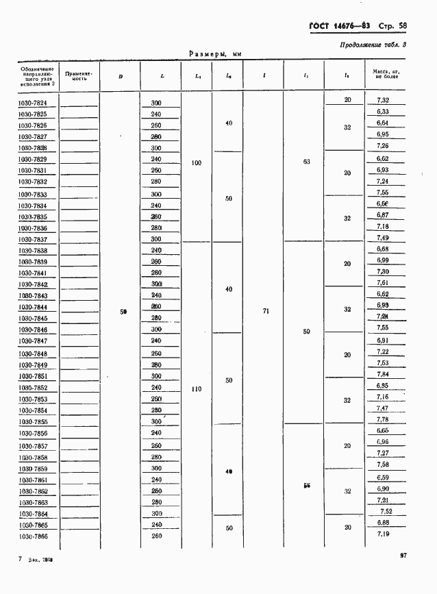
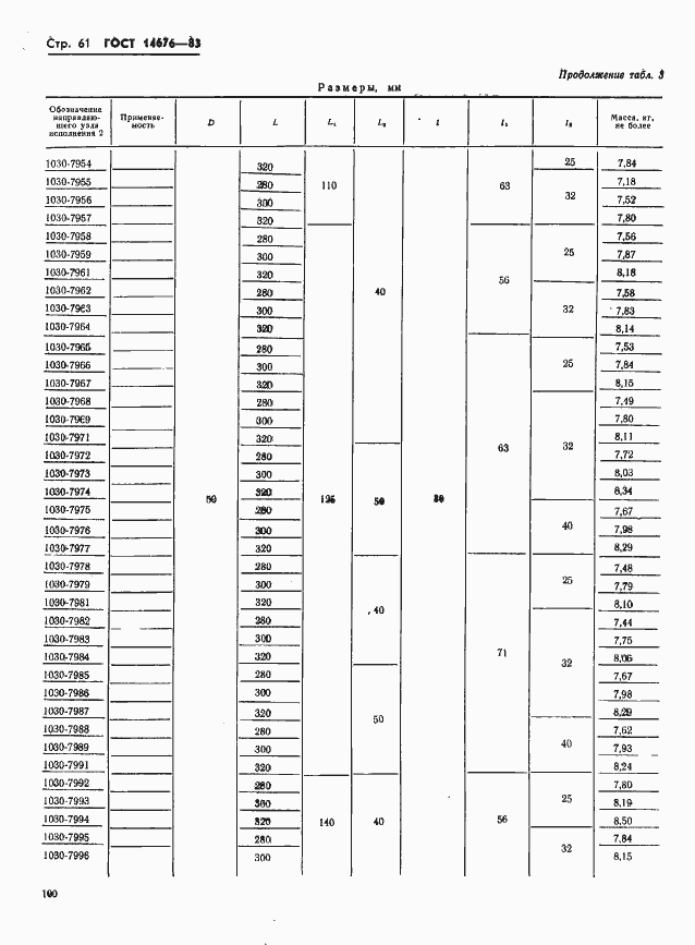
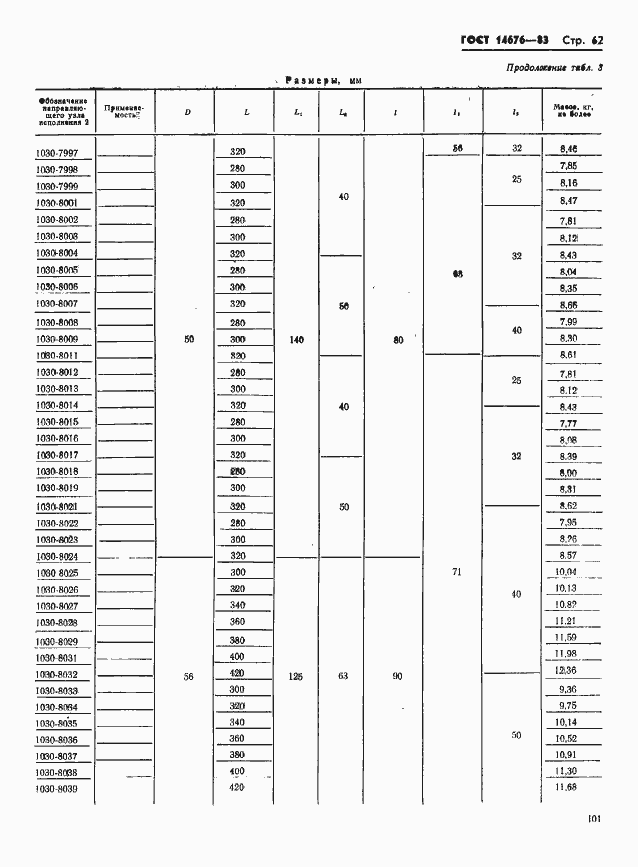
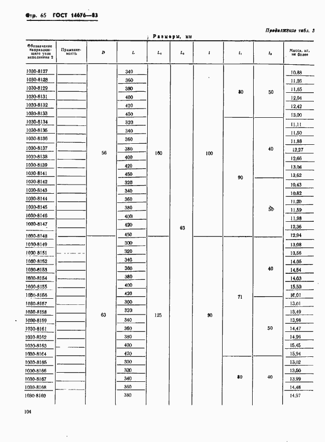
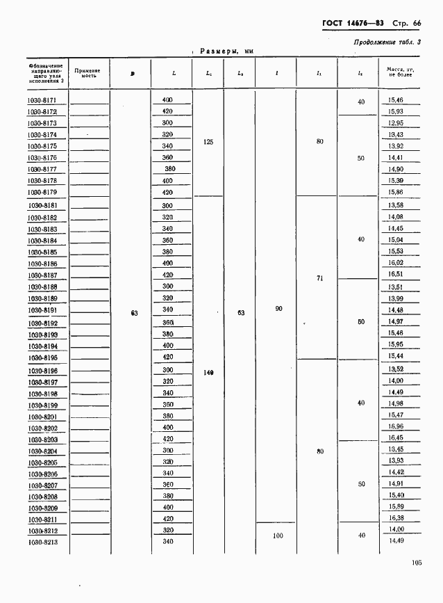
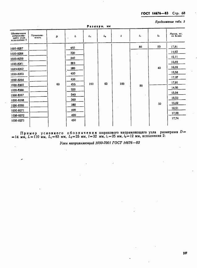
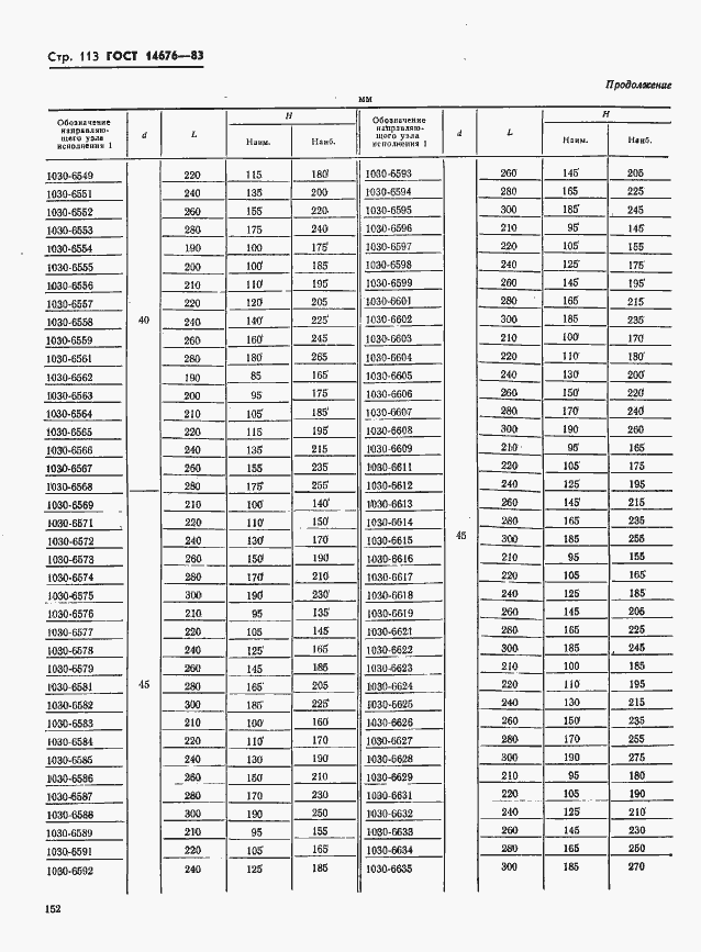
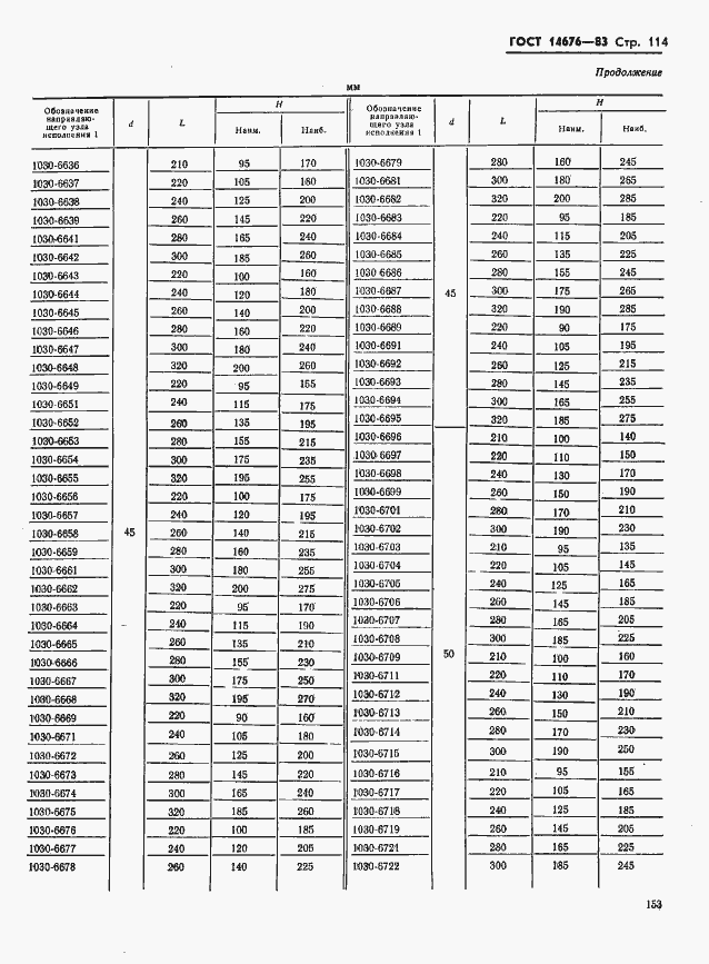
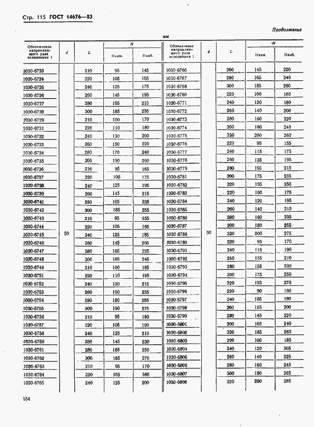
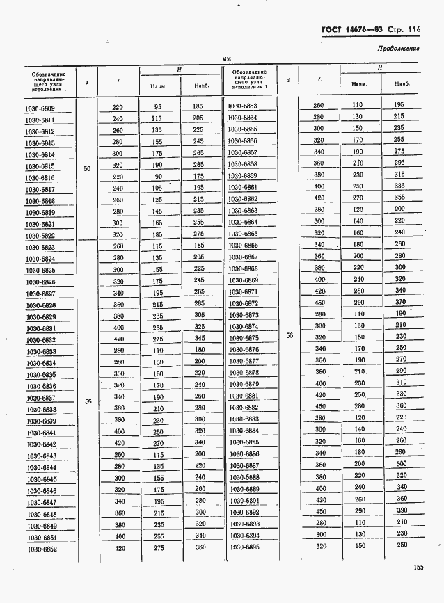
Настоящий стандарт распространяется на шариковые направляющие узлы с подвижным сепаратором для штампов листовой штамповки
Связи и замены
Заменяющий:
-
Взамен:
ГОСТ 14676-80
Описание стандарта
ГОСТ 14676-83 Штампы для листовой штамповки. Узлы направляющие шариковые для штампов. Конструкция и размеры
Страницы стандарта























































































































