ГОСТ 14677-83 Штампы для листовой штамповки. Плиты-заготовки для штампов с четырьмя направляющими узлами. Конструкция и размеры
ГОСТ
Скачать ГОСТ в PDF или DOC бесплатно
Основная информация
Обозначение:
ГОСТ 14677-83
Статус:
Действует
Тип:
ГОСТ
Название русское:
Штампы для листовой штамповки. Плиты-заготовки для штампов с четырьмя направляющими узлами. Конструкция и размеры
Название английское:
Sheet stamping dies. Plates-blanks for dies with four guide assemblies. Design and dimensions
Даты и сроки
Дата издания:
03-01-86
Дата введения в действие:
06-30-84
Дата завершения срока действия:
-
Применение и описание
Область и условия применения:
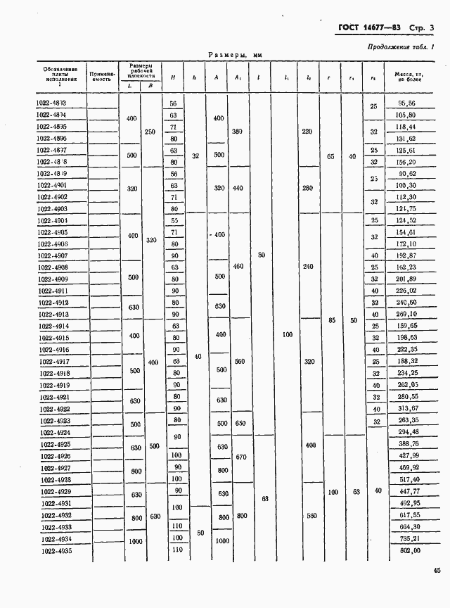
Настоящий стандарт распространяется на заготовки плит из чугунного и стального литья для штампов с четырьмя направляющими узлами
Связи и замены
Заменяющий:
-
Взамен:
ГОСТ 14677-80
Описание стандарта
ГОСТ 14677-83 Штампы для листовой штамповки. Плиты-заготовки для штампов с четырьмя направляющими узлами. Конструкция и размеры
Страницы стандарта




