ГОСТ 14678-83 Штампы для листовой штамповки. Сепараторы для шариковых направляющих узлов. Конструкция и размеры
ГОСТ
Скачать ГОСТ в PDF или DOC бесплатно
Основная информация
Обозначение:
ГОСТ 14678-83
Статус:
Действует
Тип:
ГОСТ
Название русское:
Штампы для листовой штамповки. Сепараторы для шариковых направляющих узлов. Конструкция и размеры
Название английское:
Sheet stamping dies. Retainers for guide ball assemblies. Design and dimensions
Даты и сроки
Дата издания:
12-02-83
Дата введения в действие:
06-30-84
Дата завершения срока действия:
-
Применение и описание
Область и условия применения:
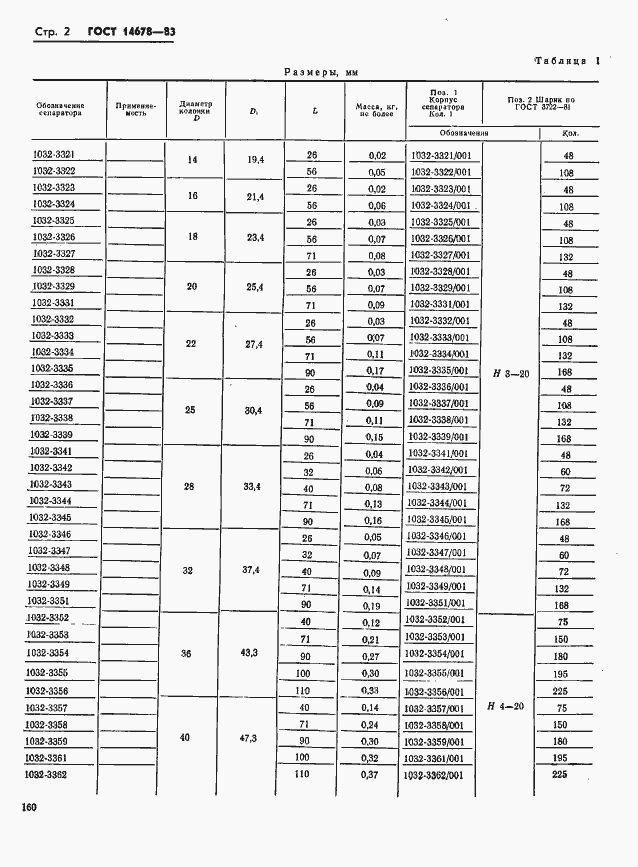
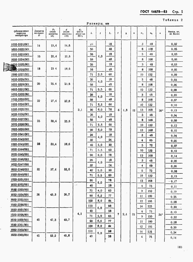
Настоящий стандарт распространяется на сепараторы для шариковых направляющих узлов и устанавливает конструкцию и размеры сепараторов
Связи и замены
Заменяющий:
-
Взамен:
ГОСТ 14678-80
Описание стандарта
ГОСТ 14678-83 Штампы для листовой штамповки. Сепараторы для шариковых направляющих узлов. Конструкция и размеры
Страницы стандарта







