ГОСТ 16246-70 Формы металлические (кокили). Выталкиватели. Конструкция и размеры
ГОСТ
Скачать ГОСТ в PDF или DOC бесплатно
Основная информация
Обозначение:
ГОСТ 16246-70
Статус:
Действует
Тип:
ГОСТ
Название русское:
Формы металлические (кокили). Выталкиватели. Конструкция и размеры
Название английское:
Chill moulds. Pushers. Construction and dimension
Даты и сроки
Дата издания:
05-01-82
Дата введения в действие:
01-01-72
Дата завершения срока действия:
-
Применение и описание
Область и условия применения:
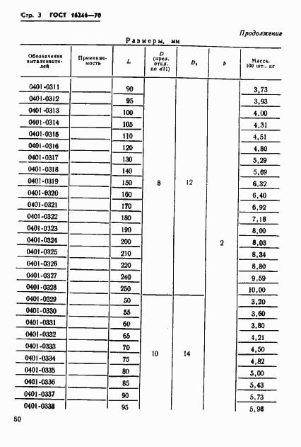
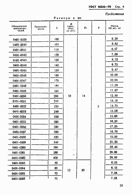
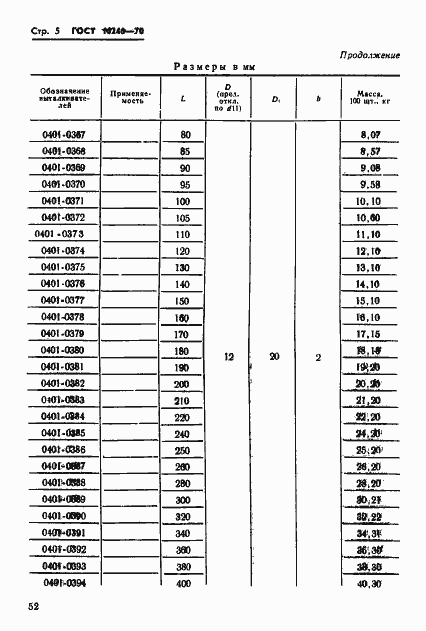
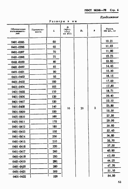
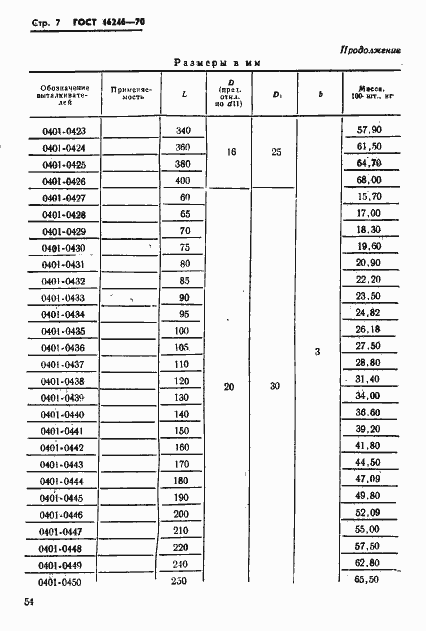
Настоящий стандарт распространяется на выталкиватели, применяемые в металлических формах для выталкивания отливок, и устанавливает конструкцию и размеры выталкивателей
Связи и замены
Заменяющий:
-
Взамен:
МН 759-60
Изменения и переиздания
Список изменений:
№1 от (рег. ) «Срок действия продлен»
Описание стандарта
ГОСТ 16246-70 Формы металлические (кокили). Выталкиватели. Конструкция и размеры
Страницы стандарта







