ГОСТ 16648-80 Державки с двумя крепежными отверстиями. Конструкция и размеры
ГОСТ
Скачать ГОСТ в PDF или DOC бесплатно
Основная информация
Обозначение:
ГОСТ 16648-80
Статус:
Действует
Тип:
ГОСТ
Название русское:
Державки с двумя крепежными отверстиями. Конструкция и размеры
Название английское:
Holders with two mounting holes. Construction and dimensions
Даты и сроки
Дата издания:
02-01-06
Дата введения в действие:
01-01-81
Дата завершения срока действия:
-
Применение и описание
Область и условия применения:
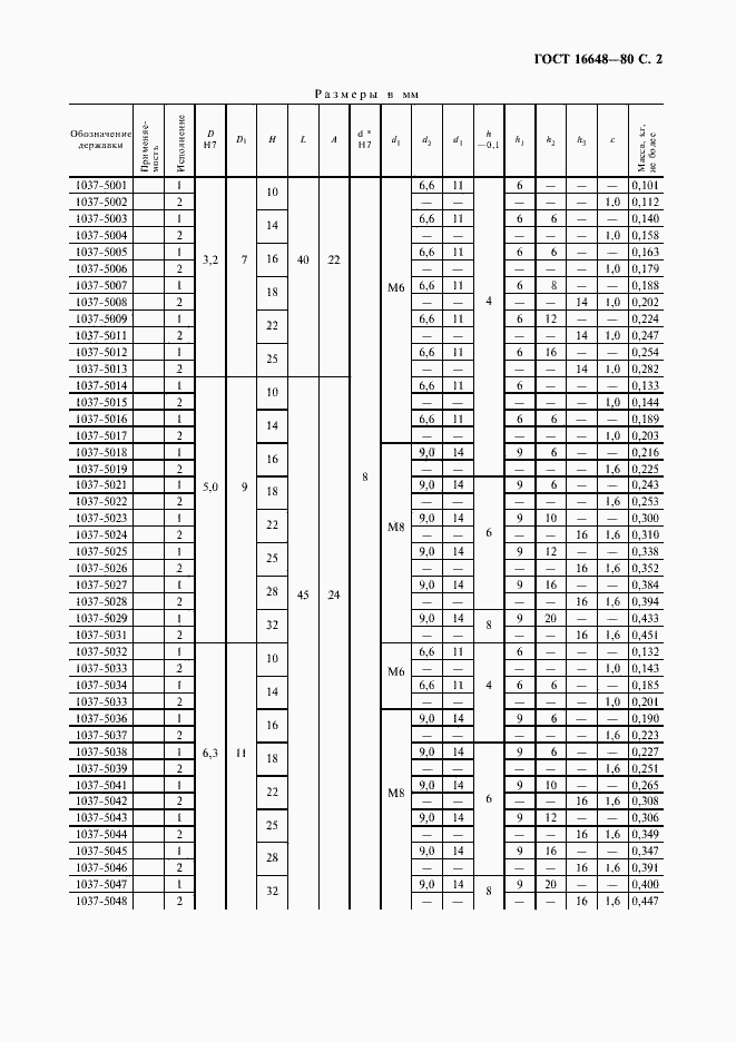
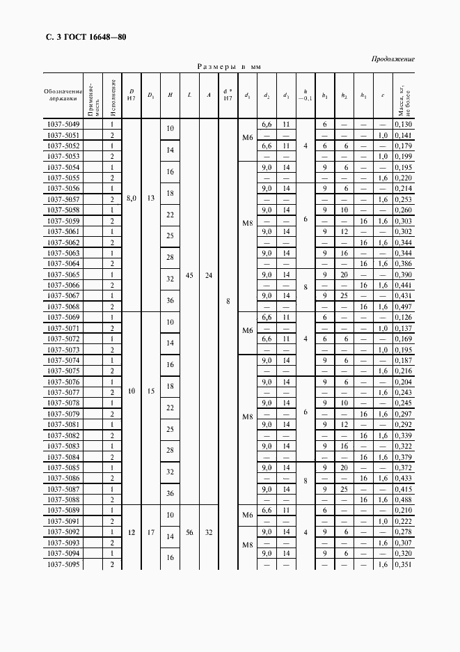
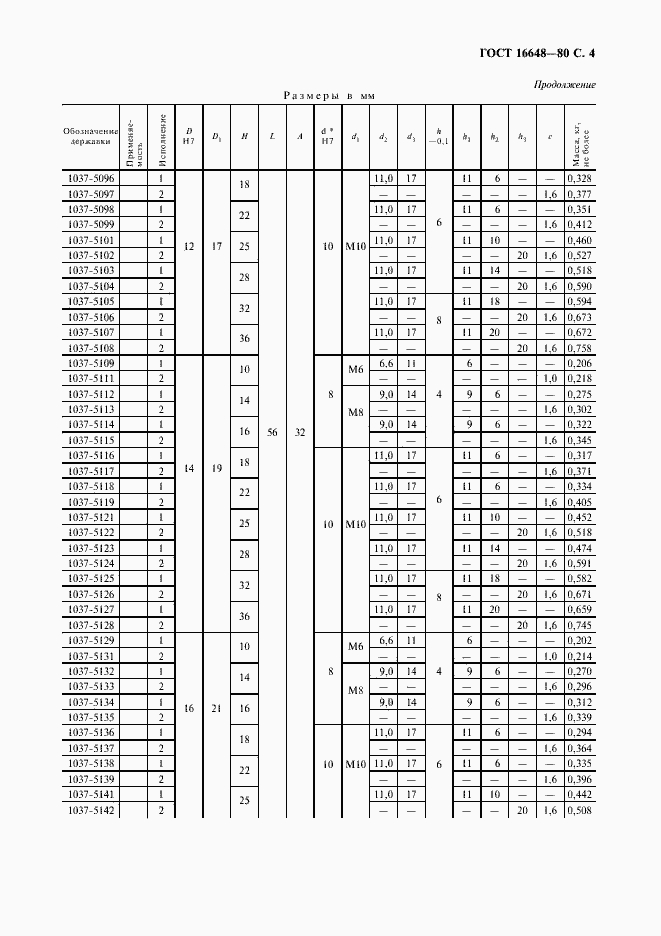
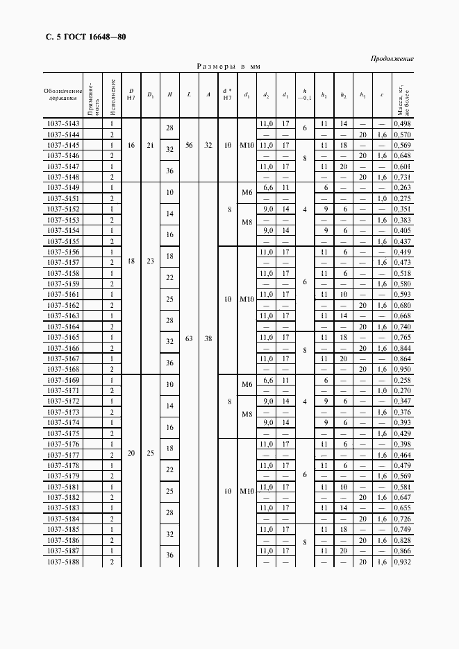
Настоящий стандарт устанавливает конструкцию и размеры державок с двумя крепежными отверстиями
Связи и замены
Заменяющий:
-
Взамен:
ГОСТ 16648-71;ГОСТ 16649-71
Изменения и переиздания
Список изменений:
№1 от (рег. ) «Срок действия продлен»
Описание стандарта
ГОСТ 16648-80 Державки с двумя крепежными отверстиями. Конструкция и размеры
Страницы стандарта







