ГОСТ 16652-80 Державки с прямоугольным пазом. Конструкция и размеры
ГОСТ
Скачать ГОСТ в PDF или DOC бесплатно
Основная информация
Обозначение:
ГОСТ 16652-80
Статус:
Действует
Тип:
ГОСТ
Название русское:
Державки с прямоугольным пазом. Конструкция и размеры
Название английское:
Holders with rectangular slot. Construction and dimensions
Даты и сроки
Дата издания:
04-01-06
Дата введения в действие:
01-01-81
Дата завершения срока действия:
-
Применение и описание
Область и условия применения:
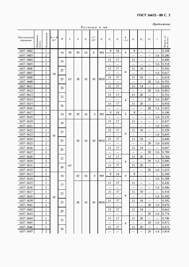
Настоящий стандарт устанавливает конструкцию и размеры державок с прямоугольным пазом
Связи и замены
Заменяющий:
-
Взамен:
ГОСТ 16652-71;ГОСТ 16653-71
Изменения и переиздания
Список изменений:
№1 от (рег. ) «Срок действия продлен»
Описание стандарта
ГОСТ 16652-80 Державки с прямоугольным пазом. Конструкция и размеры
Страницы стандарта










