ГОСТ 17666-72 Выталкиватели блоков сменных разделительных штампов листовой штамповки. Конструкция и размеры
ГОСТ
Скачать ГОСТ в PDF или DOC бесплатно
Основная информация
Обозначение:
ГОСТ 17666-72
Статус:
Действует
Тип:
ГОСТ
Название русское:
Выталкиватели блоков сменных разделительных штампов листовой штамповки. Конструкция и размеры
Название английское:
Ejector pins of units for changeable sheet stamping cutting dies. Construction and dimensions
Даты и сроки
Дата издания:
03-01-94
Дата введения в действие:
06-30-73
Дата завершения срока действия:
-
Применение и описание
Область и условия применения:
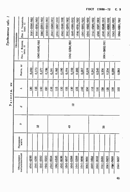
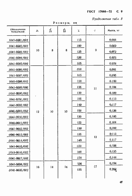
Настоящий стандарт устанавливает конструкцию и размеры выталкивателей блоков сменных разделительных штампов листовой штамповки
Связи и замены
Заменяющий:
-
Взамен:
МН 4429-63
Изменения и переиздания
Список изменений:
№1 от (рег. ) «Срок действия продлен» №2 от (рег. ) «Срок действия продлен»
Описание стандарта
ГОСТ 17666-72 Выталкиватели блоков сменных разделительных штампов листовой штамповки. Конструкция и размеры
Страницы стандарта










