ГОСТ 18797-80 Гайки для пружинных пакетов с направлением. Конструкция и размеры
ГОСТ
Скачать ГОСТ в PDF или DOC бесплатно
Основная информация
Обозначение:
ГОСТ 18797-80
Статус:
Действует
Тип:
ГОСТ
Название русское:
Гайки для пружинных пакетов с направлением. Конструкция и размеры
Название английское:
Guided nuts for spring packs. Design and dimensions
Даты и сроки
Дата издания:
12-01-86
Дата введения в действие:
01-01-82
Дата завершения срока действия:
-
Применение и описание
Область и условия применения:
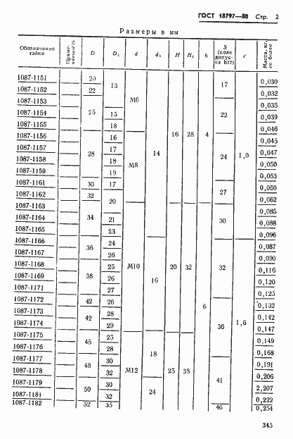
Настоящий стандарт распространяется на штампы листовой штамповки и устанавливает конструкцию и размеры гаек для пружинных пакетов с направлением
Связи и замены
Заменяющий:
-
Взамен:
ГОСТ 18797-73
Описание стандарта
ГОСТ 18797-80 Гайки для пружинных пакетов с направлением. Конструкция и размеры
Страницы стандарта



