ГОСТ 19857-74 Плиты прямоугольные вытяжных штампов для листовой штамповки (заготовки). Конструкция и размеры
ГОСТ
Скачать ГОСТ в PDF или DOC бесплатно
Основная информация
Обозначение:
ГОСТ 19857-74
Статус:
Действует
Тип:
ГОСТ
Название русское:
Плиты прямоугольные вытяжных штампов для листовой штамповки (заготовки). Конструкция и размеры
Название английское:
Rectangular plates for sheet stamping cupping dies (blanks). Construction and dimensions
Даты и сроки
Дата издания:
09-01-87
Дата введения в действие:
01-01-76
Дата завершения срока действия:
-
Применение и описание
Область и условия применения:
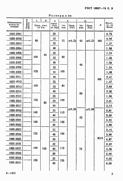
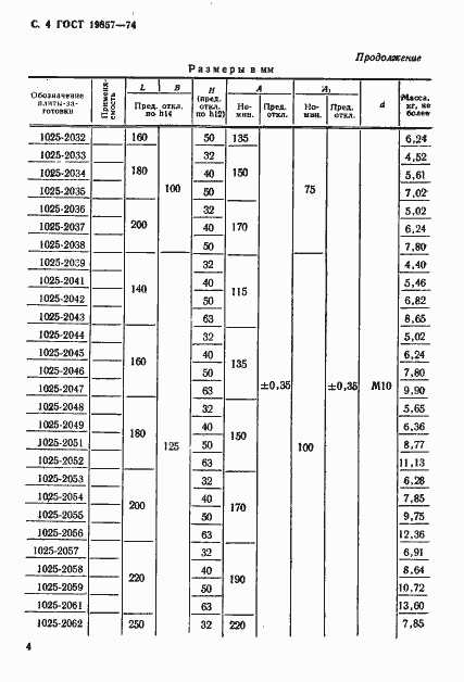
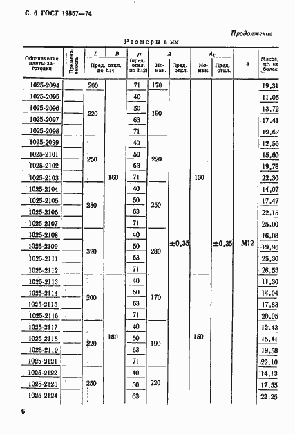
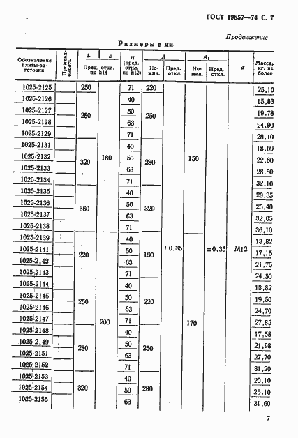
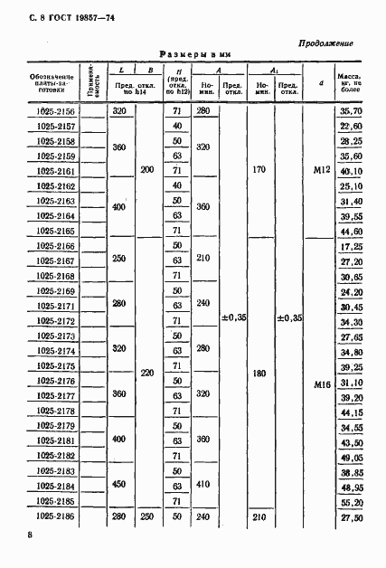
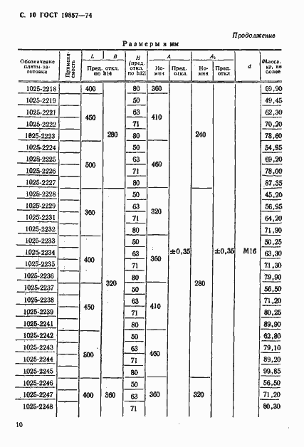
Настоящий стандарт устанавливает конструкцию и размеры прямоугольных плит (заготовок)
Связи и замены
Заменяющий:
-
Взамен:
МН 4417-63
Изменения и переиздания
Список изменений:
№1 от (рег. ) «Срок действия продлен» №2 от (рег. ) «Срок действия продлен»
Описание стандарта
ГОСТ 19857-74 Плиты прямоугольные вытяжных штампов для листовой штамповки (заготовки). Конструкция и размеры
Страницы стандарта












