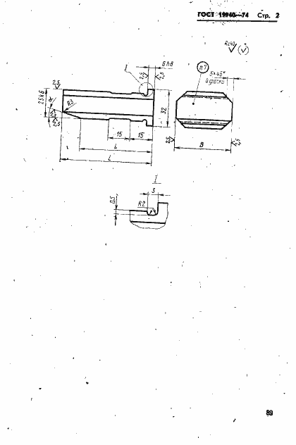
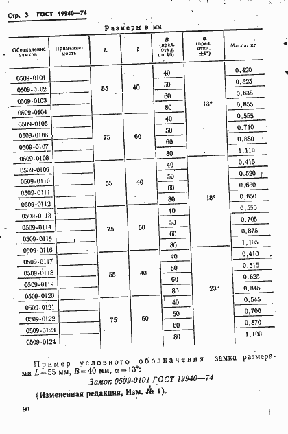
ГОСТ 19940-74 Замки для запирания ползунов пресс-форм литья под давлением. Конструкция и размеры
ГОСТ
Скачать ГОСТ в PDF или DOC бесплатно
Основная информация
Обозначение:
ГОСТ 19940-74
Статус:
Действует
Тип:
ГОСТ
Название русское:
Замки для запирания ползунов пресс-форм литья под давлением. Конструкция и размеры
Название английское:
Locks for slides of dies for die casting. Design and dimensions
Даты и сроки
Дата издания:
07-01-82
Дата введения в действие:
06-30-75
Дата завершения срока действия:
-
Применение и описание
Область и условия применения:
Настоящий стандарт распространяется на замки запирания ползунов, применяемых при литье под давлением деталей из цветных сплавов для фиксации положения ползунов
Связи и замены
Заменяющий:
-
Взамен:
МН 1575-61
Изменения и переиздания
Список изменений:
№1 от (рег. ) «Срок действия продлен» №2 от (рег. ) «Срок действия продлен»
Описание стандарта
ГОСТ 19940-74 Замки для запирания ползунов пресс-форм литья под давлением. Конструкция и размеры
Страницы стандарта




