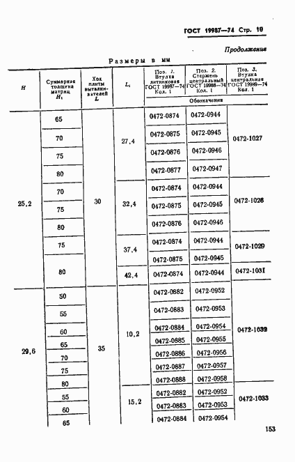
ГОСТ 19987-74 Втулки литниковые пресс-форм для выплавляемых моделей. Конструкция и размеры
ГОСТ
Скачать ГОСТ в PDF или DOC бесплатно
Основная информация
Обозначение:
ГОСТ 19987-74
Статус:
Действует
Тип:
ГОСТ
Название русское:
Втулки литниковые пресс-форм для выплавляемых моделей. Конструкция и размеры
Название английское:
Pouring date bushing of wax-pattern dies. Design and dimensions
Даты и сроки
Дата издания:
04-01-82
Дата введения в действие:
01-01-76
Дата завершения срока действия:
-
Применение и описание
Область и условия применения:
Настоящий стандарт распространяется на литниковые втулки, применяемые для выполнения втулок модельных звеньев в пресс-формах, устанавливаемых на автоматах, в автоматизированном производстве литья по выплавляемым моделям
Связи и замены
Заменяющий:
-
Изменения и переиздания
Список изменений:
№1 от (рег. ) «Срок действия продлен»
Описание стандарта
ГОСТ 19987-74 Втулки литниковые пресс-форм для выплавляемых моделей. Конструкция и размеры
Страницы стандарта












