ГОСТ 19995-74 Копиры пальцевые пресс-форм для выплавляемых моделей. Конструкция и размеры
ГОСТ
Скачать ГОСТ в PDF или DOC бесплатно
Основная информация
Обозначение:
ГОСТ 19995-74
Статус:
Действует
Тип:
ГОСТ
Название русское:
Копиры пальцевые пресс-форм для выплавляемых моделей. Конструкция и размеры
Название английское:
Pin cams for wax-pattern dies. Design and dimensions
Даты и сроки
Дата издания:
04-01-82
Дата введения в действие:
01-01-76
Дата завершения срока действия:
-
Применение и описание
Область и условия применения:
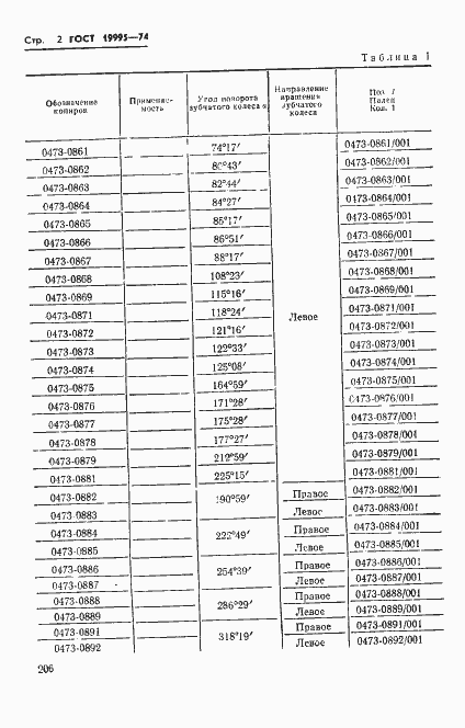
Настоящий стандарт распространяется на пальцевые копиры, применяемые в дисковых и реечных приспособлениях для удаления стержней в пресс-формах для выплавляемых моделей
Связи и замены
Заменяющий:
-
Взамен:
МН 4319-63
Изменения и переиздания
Список изменений:
№1 от (рег. ) «Срок действия продлен»
Описание стандарта
ГОСТ 19995-74 Копиры пальцевые пресс-форм для выплавляемых моделей. Конструкция и размеры
Страницы стандарта










