ГОСТ 21173-83 Штампы для листовой штамповки. Блоки штампов с четырьмя направляющими узлами скольжения. Конструкция и размеры
ГОСТ
Скачать ГОСТ в PDF или DOC бесплатно
Основная информация
Обозначение:
ГОСТ 21173-83
Статус:
Действует
Тип:
ГОСТ
Название русское:
Штампы для листовой штамповки. Блоки штампов с четырьмя направляющими узлами скольжения. Конструкция и размеры
Название английское:
Sheet stamping dies. Die sets with four guide sliding assemblies. Construction and dimensions
Даты и сроки
Дата издания:
03-01-86
Дата введения в действие:
06-30-84
Дата завершения срока действия:
-
Применение и описание
Область и условия применения:
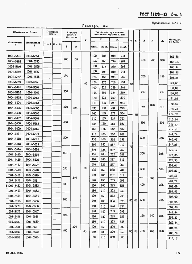
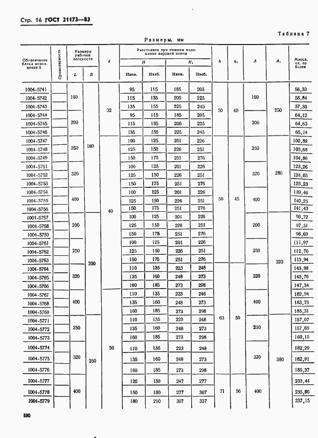
Настоящий стандарт распространяется на блоки штампов с четырьмя направляющими узлами скольжения с плитами из чугунного и стального литья
Связи и замены
Заменяющий:
-
Взамен:
ГОСТ 21173-75
Описание стандарта
ГОСТ 21173-83 Штампы для листовой штамповки. Блоки штампов с четырьмя направляющими узлами скольжения. Конструкция и размеры
Страницы стандарта




















