ГОСТ 21295-75 Выталкиватели регулируемые для нагреваемых стержневых ящиков. Конструкция и размеры
ГОСТ
Скачать ГОСТ в PDF или DOC бесплатно
Основная информация
Обозначение:
ГОСТ 21295-75
Статус:
Действует
Тип:
ГОСТ
Название русское:
Выталкиватели регулируемые для нагреваемых стержневых ящиков. Конструкция и размеры
Название английское:
Regulable ejectors for heated core boxes. Design and dimensions
Даты и сроки
Дата издания:
01-01-01
Дата введения в действие:
01-01-77
Дата завершения срока действия:
-
Применение и описание
Область и условия применения:
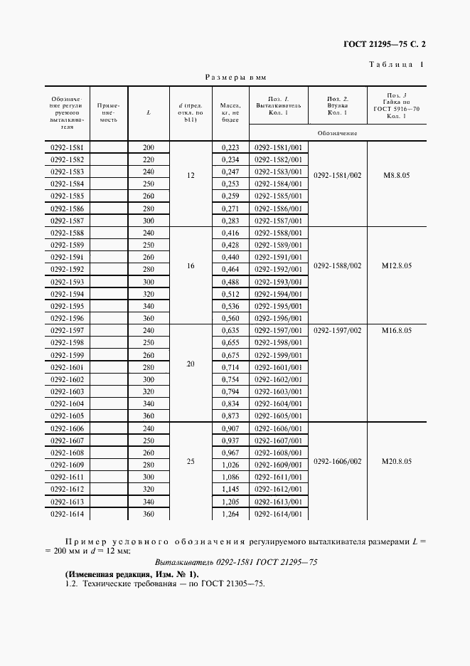
Настоящий стандарт устанавливает конструкцию и размеры регулируемых выталкивателей для нагревательных стержневых ящиков
Связи и замены
Заменяющий:
-
Изменения и переиздания
Список изменений:
№1 от (рег. ) «Срок действия продлен»
Описание стандарта
ГОСТ 21295-75 Выталкиватели регулируемые для нагреваемых стержневых ящиков. Конструкция и размеры
Страницы стандарта







