ГОСТ 21459-82 Направляющие съемные для штампов листовой штамповки. Конструкция и размеры
ГОСТ
Скачать ГОСТ в PDF или DOC бесплатно
Основная информация
Обозначение:
ГОСТ 21459-82
Статус:
Действует
Тип:
ГОСТ
Название русское:
Направляющие съемные для штампов листовой штамповки. Конструкция и размеры
Название английское:
Removable guides for sheet stamping dies. Construction and dimensions
Даты и сроки
Дата издания:
07-06-82
Дата введения в действие:
06-30-83
Дата завершения срока действия:
-
Применение и описание
Область и условия применения:
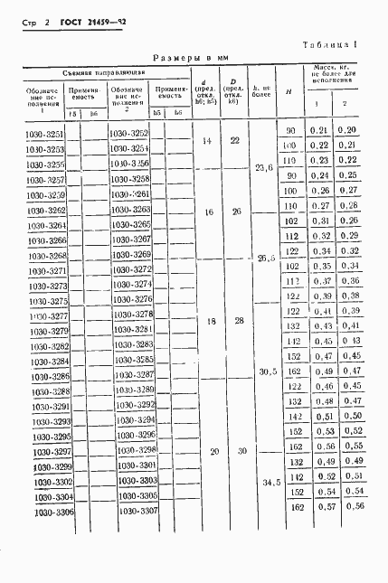
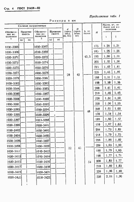
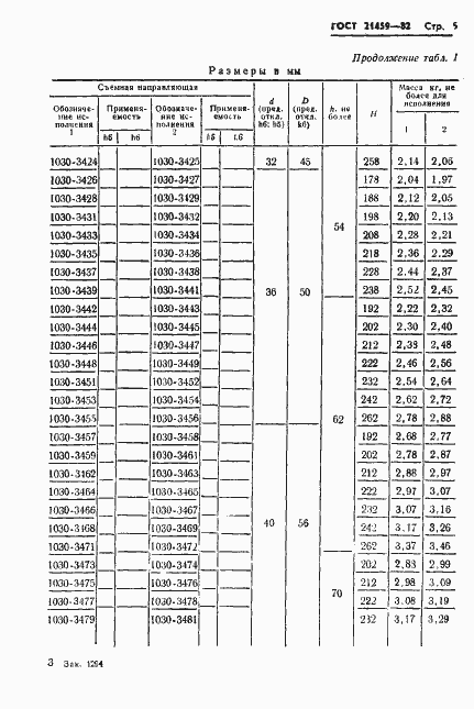
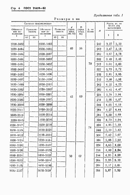
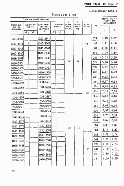
Настоящий стандарт устанавливает конструкцию и размеры съемных направляющих для штампов листовой штамповки
Связи и замены
Заменяющий:
-
Взамен:
ГОСТ 21459-75
Описание стандарта
ГОСТ 21459-82 Направляющие съемные для штампов листовой штамповки. Конструкция и размеры
Страницы стандарта












































