ГОСТ 21884-83 Штампы для листовой штамповки. Плиты-заготовки промежуточные для штампов с диагональным расположением направляющих узлов скольжения. Конструкция и размеры
ГОСТ
Скачать ГОСТ в PDF или DOC бесплатно
Основная информация
Обозначение:
ГОСТ 21884-83
Статус:
Действует
Тип:
ГОСТ
Название русское:
Штампы для листовой штамповки. Плиты-заготовки промежуточные для штампов с диагональным расположением направляющих узлов скольжения. Конструкция и размеры
Название английское:
Sheet stamping dies. Intermediate plates-blanks for dies with diagonally positioned guide sliding assemblies. Design and dimensions
Даты и сроки
Дата издания:
12-12-83
Дата введения в действие:
06-30-84
Дата завершения срока действия:
-
Применение и описание
Область и условия применения:
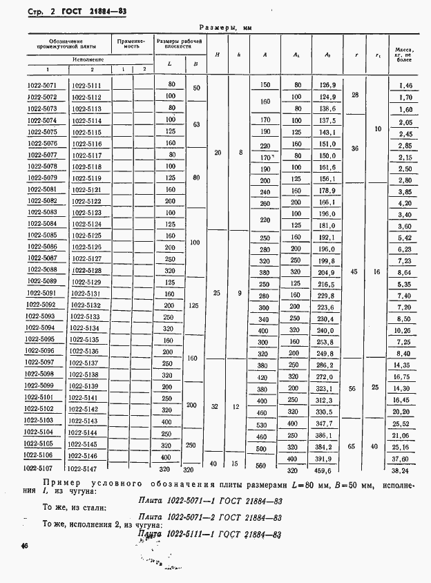
Настоящий стандарт распространяется на заготовки промежуточных плит из чугунного и стального литья для штампов с диагональным расположением направляющих узлов скольжения
Связи и замены
Заменяющий:
-
Взамен:
ГОСТ 21884-76
Описание стандарта
ГОСТ 21884-83 Штампы для листовой штамповки. Плиты-заготовки промежуточные для штампов с диагональным расположением направляющих узлов скольжения. Конструкция и размеры
Страницы стандарта


