ГОСТ 22191-83 Буфера с резиновыми пружинами для штампов листовой штамповки. Конструкция и размеры
ГОСТ
Скачать ГОСТ в PDF или DOC бесплатно
Основная информация
Обозначение:
ГОСТ 22191-83
Статус:
Действует
Тип:
ГОСТ
Название русское:
Буфера с резиновыми пружинами для штампов листовой штамповки. Конструкция и размеры
Название английское:
Rubber spring buffers for sheet stamping dies. Design and dimensions
Даты и сроки
Дата издания:
04-14-83
Дата введения в действие:
01-01-84
Дата завершения срока действия:
-
Применение и описание
Область и условия применения:
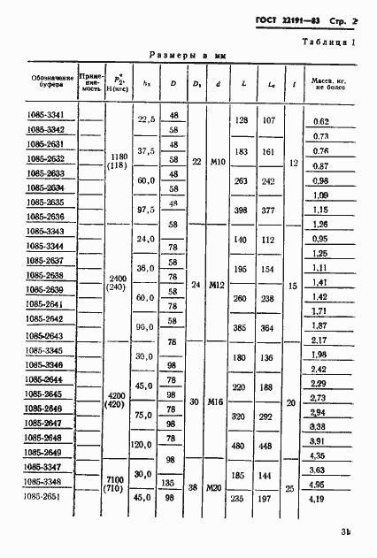
Настоящий стандарт устанавливает конструкцию и размеры буферов
Связи и замены
Заменяющий:
-
Взамен:
ГОСТ 22191-76
Описание стандарта
ГОСТ 22191-83 Буфера с резиновыми пружинами для штампов листовой штамповки. Конструкция и размеры
Страницы стандарта










