ГОСТ 24535-80 Втулки ступенчатые для составных пружин. Конструкция и размеры
ГОСТ
Скачать ГОСТ в PDF или DOC бесплатно
Основная информация
Обозначение:
ГОСТ 24535-80
Статус:
Действует
Тип:
ГОСТ
Название русское:
Втулки ступенчатые для составных пружин. Конструкция и размеры
Название английское:
Stepped bushes for composite springs. Design and dimensions
Даты и сроки
Дата издания:
12-01-86
Дата введения в действие:
01-01-82
Дата завершения срока действия:
-
Применение и описание
Область и условия применения:
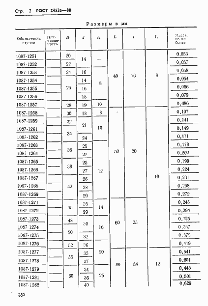
Настоящий стандарт устанавливает конструкцию и размеры ступенчатых втулок для составных пружин
Связи и замены
Заменяющий:
-
Описание стандарта
ГОСТ 24535-80 Втулки ступенчатые для составных пружин. Конструкция и размеры
Страницы стандарта


